This article discusses the reflections on a transmission line at the capacitive and inductive loads. This completes the series of articles devoted to the topic of reflections on transmission lines, i.e., transient analysis of transmission lines (see: [1] for reflections at a resistive load, [2] for reflections at a discontinuity, [3] for a bounce diagram, [4] for ringing on transmission lines).
Part 1 – Reflections at the Inductive Load
1.1 Fundamental Background
Consider the circuit shown in Figure 1 where the transmission line of length d is terminated by an inductor L.

The source resistance is matched to the characteristic impedance of the line; it is also assumed that the initial current in the inductor is zero
(1)
When the switch closes at t = 0, a wave originates at z = 0, with
(2a)
(2b)
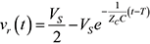
and travels towards the load. When this wave arrives at the load (after the time T; about 18 ns for a 12 ft RG58 cable), the inductor current cannot change instantaneously from zero to the value in Eq. (2b), Kirchhoff’s Current Law (KCL) is violated at z = d and thus the reflected wave, vr and ir is created [5]. This is shown in Figure 2.

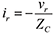
The reflected current wave is related to the reflected voltage wave by
(3)
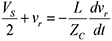
The voltage-current relationship for an inductor produces
(4)
or, using Eqs. (2) and (3)
(5)
Since VS and ZC are constant Eq. (5) reduces to
(6)
or
(7)
This differential equation in vr was solved in [5] with the result:
(8)
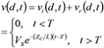
This reflected voltage wave and reflected current wave travel back to the source; since the source is matched to the line, there is no reflection at the source. The total voltage across the inductor is
(9)
Figure 3 shows the shows a circuit schematic of a transmission line driven by a 5V CMOS and terminated in an inductive load.

The driver voltage and the voltage across the inductor are displayed in Figure 4.

1.2 Verification
Figure 5 shows the experimental setup for laboratory verification using a 12 ft RG58 (ZC = 50 Ω) coaxial cable terminated by a 2.2 µH inductor.

The source signal is a 0 – 10 V square wave with 5 ns rise and fall times and frequency of 100 kHz. Figure 6 shows the resulting voltage waveforms at the source (z = 0) and at the load (z = d = 12 ft).

Note that the voltage V at z = 0 location rises to its initial value VS/2 as predicted by Eq. (2a). After the time T =18 ns this voltage wave arrives at the inductor and its voltage jumps to VS, as predicted by Eq. (9). Subsequently, this voltage decays to zero. Also note that the measured time constant of the inductor voltage is 41.2 ns, which closely matches the time constant in Eq. (9), i.e.,
(10)
Part 2 – Reflections at the Capacitive Load
2.1 Fundamental Background
Consider the circuit shown in Figure 7.

A line of length d is terminated by a capacitor C with zero initial voltage.
(11)
A constant voltage source with internal resistance equal to the characteristic impedance ZC of the line is connected to the line at . When the switch closes at t = 0, a wave originates at z = 0, with
(12a)
(12b)
This wave travels down the line to reach the load end at time T. Upon arriving at the load the reflected voltage and current waves (vr and ir) are created. The reflected current wave is related to the reflected voltage wave by
(13)
The voltage-current relationship for a capacitor produces
(14)
Or, using Eqs. (12) and (13)
(15)
Since VS is constant Eq. (15) reduces to
(16)
or
(17)
Rearranging Eq. (17) results in
(18)
or
(19)
where
(20a)
(20b)
The solution of this equation was derived in [5] and was shown to be
(21)
Utilizing Eq. (20) in Eq. (21) we obtain
(22)
and finally
(23)
This reflected voltage wave and reflected current wave travel back to the source; since the source is matched to the line, there is no reflection at the source. The total voltage across the capacitor is
(24)
Figure 8 shows the shows a circuit schematic of a transmission line driven by a 5V CMOS and terminated in a capacitive load.

The driver voltage and the voltage across the capacitor are displayed in Figure 9.

2.2 Verification
Figure 10 shows the experimental setup for laboratory verification using a 12 ft RG58 (ZC = 50 Ω) coaxial cable terminated by a 220 pF capacitor.

The source signal is a 0 – 10 V square wave with 5 ns rise and fall times and frequency of 1 MHz. Figure 11 shows the resulting voltage waveforms at the source (z = 0) and at the load (z = d = 12 ft).

Note that the voltage at the location V(z = 0) rises to its initial value VS/2 as predicted by Eq. (12a). After the time T = 18 ns this voltage wave arrives at the capacitor and rises exponentially to its final value of VS, as predicted by Eq. (24). Also note that the measured time constant of the inductor voltage is 11.2 ns, which closely matches the time constant in Eq. (24), i.e.,
(25)
References
- Adamczyk, B., “Transmission Line Reflections at a Resistive Load,” In Compliance Magazine, January 2017.
- Adamczyk, B., “Transmission Line Reflections at a Discontinuity,” In Compliance Magazine, February 2017.
- Adamczyk, B., “Transmission Line Reflections – Bounce Diagram,” In Compliance Magazine, October 2018.
- Adamczyk, B., “Circuit Theory Model of Ringing on a Transmission Line,” In Compliance Magazine, November 2018.
- Adamczyk, B. Foundations of Electromagnetic Compatibility with Practical Applications, Wiley, 2017.
