Foundations
For common-impedance coupling to occur, two circuits must share a current path (with a non-negligible impedance) [1]. Before we discuss common-impedance coupling let’s consider a couple of scenarios where common-impedance coupling does not occur.
Consider the circuit shown in Figure 1. The current flows from the source to the load along the forward path and returns to the source through a zero-impedance ground, or return path.

The voltage at the load (with respect to ground is)
(1)
Next, let’s consider the case where the return path has a non-zero ground impedance, as shown in Figure 2. Now the voltage at the load (with respect to ground is)
(2)

Obviously the ground impedance,
G , affects the value of the load voltage, but no other circuit influences this value or is impacted by this ground impedance – there is no impedance coupling (since there is no other circuit to be coupled).
Next, consider the situation shown in Figure 3 where two circuits share the return path with zero impedance.

The voltages at the loads are
(3a)
(3b)
Even though both circuits share the return path, the load voltage of circuit 1,
L1, is not affected by the return current of circuit 2,
2; similarly, the load voltage of circuit 2,
L2, is not affected by the return current of circuit 1,
1.
There is no impedance coupling between the circuits (since there is no common impedance shared by both circuits).
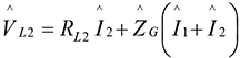
Finally, consider the situation shown in Figure 4 where two circuits share the return path with a non-zero impedance.

The voltages at the loads are
(4a)
(4b)
Now the load voltage of circuit 1,
L1, is affected by the return current of circuit 2,
2; similarly, the load voltage of circuit 2,
L2, is affected by the return current of
circuit 1,
1.
This type of coupling is called the common-impedance coupling.
Common-impedance coupling becomes an EMC problem when two or more circuits share a common return path (common ground) and one or more of the following conditions exist:
- a high-impedance ground (at high frequency: too much inductance; at low frequency: too much resistance),
- a large ground current,
- a very sensitive, low-noise margin circuit, sharing the ground with other circuits.
The next section will address these three cases. (Note: a similar situation occurs when the circuits share a common forward path).
Verification
The board used in the experiment is shown in Figure 5, while the test setup for the common-impedance measurements is shown in Figure 6.


The corresponding circuit diagram is shown in Figure 7.

We will investigate common-impedance coupling between three different circuits: an audio circuit (sensitive low-noise margin circuit), a video circuit, and a high-current circuit (DRL module).
Figure 8 shows the voltage measurement at the ground node (oscilloscope probe measurement point in Figure 7) when the common-impedance path is switched from the low- to high-impedance level. This is accomplished by simply flipping a switch on the board.

Note that this measurement corresponds to the scenario shown in Figure 2. Common-impedance coupling does not occur here, since there are no other circuits that could couple to the audio circuit. When the return path impedance is low, the audio circuitry operates as intended. When the resistance is changed to high, there is an increase in the ground potential (22.4 mV) and a noticeable audio noise from the speaker is present. We conclude that the presence of a non-zero ground impedance itself might not be a problem; the level of that impedance, however, might be.
The video circuitry can operate in two different modes; with its own dedicated current return or with the return path shared with other circuits. When the video circuitry has its own return path, there is obviously no impact on the audio circuitry and the ground node voltage. When the circuits share the return path there is a noticeable shift in the ground voltage. This shift is more pronounced when the shared path is the high-impedance path (about 10 mV additional voltage shift). This measurement is shown in Figure 9.

When the high-impedance return path is shared by both the audio and video circuitry there is a noticeable degradation of the audio signal. The video circuitry shows no noticeable degradation. We conclude that sharing the return path (i.e. sharing the common impedance) may be acceptable for the less-sensitive circuits (video circuitry).
Figure 10 shows the measurements when the high-level current from the DRL module shares the high-impedance return path with the audio and video circuitry. Notice the dramatic increase in the ground-voltage shift (204 mV). As expected, the audio circuitry cannot handle this level of voltage shift. The video circuitry however, reacts differently to this level of the return current and the ground-impedance changes. When the ground impedance is low, even with the high current from DRL the video circuitry is still operational. When the ground impedance is changed to high, the video circuitry can no longer operate properly and a noticeable flickering of the video screen is observed, as shown in Figure 11. These measurements support the conclusions presented at the end of Section 1.


Acknowledgement
The authors would like to thank Pete Vander Wel and Bill Spence of Gentex Corp. for their help in designing the circuitry and creating the PCB used in this article.
References
- Bogdan Adamczyk, Foundations of Electromagnetic Compatibility with Practical Applications, Wiley, 2017.
