Introduction
This month’s practical engineering article explores measurement uncertainty and the calculation of an overall uncertainty budget, focusing on using the Welch-Satterthwaite formula to calculate effective degrees of freedom. I chose this topic because it was initially challenging for me. By demonstrating the Welch-Satterthwaite formula in action, I hope to show readers of In Compliance how straightforward it can be to determine overall effective degrees of freedom and, ultimately, the expanded uncertainty of the measurement we’re studying.
Background
Those familiar with the subject of measurement uncertainty will know that there are basically two types of uncertainty that we include in our uncertainty budgets. As a reminder, Type A uncertainty is obtained from taking repeated measurements (typically 30 or more so we capture a large sample size) and then calculating the standard uncertainty (aka standard deviation). The degrees of freedom for Type A uncertainties are easy to calculate, as they are typically just number of samples minus one. In our example, where number of samples (N) is equal to 30, the degrees of freedom (ν) is 29.
Type B uncertainty is obtained from a review of specifications of our test instruments and reference standards and then using engineering judgment to determine the standard uncertainty. An “expanded” uncertainty is then determined using a degrees of freedom formula called the Welch-Satterthwaite formula.
Note: Degrees of freedom is a complex subject; however it can be summarized as a method that adjusts our numbers by considering the sampling error. In our ν = N – 1 example above, the average value of our readings is the only one held constant, hence the N – 1.
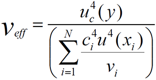
Welch-Satterthwaite Formula
Here is the Welch-Satterthwaite formula in all its glory:

Perhaps now you can see why it is difficult for some, like myself, to get confused and not be able to use this formula correctly. Don’t worry; it looks worse than it really is.
Note: νeff is the overall degrees of freedom for the combined uncertainty (Uc).
It is important to recognize that the formula considers each uncertainty, each sensitivity coefficient, and each uncertainty’s specific value for degrees of freedom to calculate νeff. Perhaps an example will help explain what this means better.
Example of Using the Welch-Satterthwaite Formula
Example Uncertainty Budget

Note that for our example, we have 18 degrees of freedom for repeatability. Perhaps obtaining the repeatability measurements takes a lot of time and/or money, so we did not end up getting a full 30 samples as was originally desired.
Also, for clarity in this example, let’s assume we’re performing an uncertainty budget for a voltage measurement.
Recall that all the Ui’s are root-sum-squared to obtain a “combined standard uncertainty” (Uc). This is the uncertainty that results from combining all individual uncertainties (Ui’s). Here’s the basic formula for Uc:
![]()
In this example, Uc equals 16.8×10-3 or 16.8 milli-volts (16.8 mV).
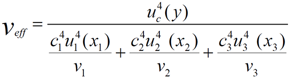
In our example case, the Welch-Satterthwaite formula resembles this:

With the formula broken out like the above, it’s much easier to understand. It’s even easier to see what’s going on when we plug in all the numbers from our uncertainty budget to obtain νeff.
Since νeff = 19.8, let’s round νeff up to 20 for good measure, the result is that we’re then more confident in the final expanded uncertainty number.
Next Steps
From this point, the expanded uncertainty (Um) is determined using the student’s t-distribution and the value of νeff that we just calculated. Recall that Um = k* Uc, where k is the coverage factor and it specifies how confident we are that our results are contained within the bounds of the distribution. Often, for convenience, a k = 2 or 95.45% is used. This coverage factor is adjusted by looking up the effective degrees of freedom in the student’s t-distribution table for 95.45% confidence and νeff = 20. I’ll spare you the exercise, but the value obtained from the t-table for our new adjusted k value using νeff = 20 is 2.13. With all of this information, we can then calculate the new expanded uncertainty (Um) as 2.13 * 16.8 mV or 35.8 mV.
Plugging all this information back into our uncertainty budget table, we get:

Example Uncertainty Budget – Including Expanded Uncertainty

Conclusion
The Welch-Satterthwaite formula can seem daunting at first, especially if you’re unfamiliar with it. For this reason, many people involved in basic uncertainty budget calculations tend to omit it. However, after seeing it applied in a practical example, I hope you’ll feel more confident incorporating it into your calculations.
