The hi-pot test is another safety subject of which few of us feel comfortable that we are in control. What is the purpose of the hi-pot test, and what hazard does it address or obviate?
First, each of the standards seems to have its own unique voltage which differs from all the other standards. As if this was not enough, it often seems that each of the various test houses has its own unique voltage regardless of the standards. What voltage should we use? And, why is the voltage so high compared to the working voltage?
Next, we are often given our choice of waveform, either ac or dc. More recently, a third waveform, the 1.2 x 50 µsec impulse, is appearing in some standards. What waveform should we use?
Then, we must select the duration or time of the test. The conventional time is one minute. Some standards allow a shorter time, but a higher voltage. What duration should we use?
For the impulse test, duration is measured in number of impulses applied to the equipment under test. One standard is proposing three positive impulses and three negative impulses, with no more than one second between applications.)
Some standards specify different voltages and times depending on whether the test is a type test or a routine test. (A type test is the test done during the safety engineering investigation of the product, and the routine test is the test done on the production line.) Why do the voltages and times depend on whether the test is an engineering evaluation test or a production-line test?
Some standards specify a maximum rate of rise of the test voltage. Why?
Another concern that is not usually addressed, and often does not appear in hi-pot tester specs is output current. How much current does the hi-pot tester need to put out?
Finally, how do you know when you have a hi-pot test failure?
And, what should you do when you have a hi-pot test failure? What does the failure mean, and what should you do about it?
Have you ever had your friendly certification house inspector (field representative) ask you to prove that your hi-potter can detect a failure? How do you know your hi-potter will truly trip when it detects a legitimate failure?
Often, there is concern that the hi-pot test will damage sensitive semiconductors or other components in the equipment under test. Is this true, and what can you do to prevent damaging your newly built expensive product?
Exactly what is a hi-pot test?
In its simplest form, the hi-pot test applies a relatively high voltage between two conductors which are separated by insulation. The insulation is supposed to withstand this voltage without breaking down. If it withstands the voltage without breaking down, the insulation is said to have adequate or acceptable electric strength (or dielectric strength).
In practice, the hi-pot test applies a voltage between two sets of conductors, the primary circuit and the grounding circuit, which are separated by various insulations.
The hi-pot test is also often applied between the primary circuit and low-voltage secondary circuits. But, since low-voltage secondary circuits are usually grounded, the primary-to-ground test also tests the primary-to-secondary insulations, and only one test need be performed. (In some cases, it is necessary to disconnect the secondary from ground, and perform a primary-to-secondary hi-pot at a higher voltage, and with the equipment under test ground open.)
Thus, the hi-pot test is a test of the insulation surrounding the primary circuits. The insulation surrounding the primary circuits is essential to providing protection against electric shock from the primary circuits. Therefore, the successful hi-pot test is one measure of the adequacy of one of the equipment’s mechanisms providing protection against electric shock.
Some of my colleagues will claim that the insulation surrounding the primary circuits also provides protection against electrically-caused fire from the primary circuits. Therefore, the successful hi-pot test is also one measure of the adequacy of one of the equipment’s mechanisms providing protection against electrically-caused fire. (I have yet to sort out this issue to my personal satisfaction; I cannot argue against it, so I include it as if it were a legitimate issue. Perhaps my readers would offer their views on the relationship of electric strength of insulation to electrically-caused fires.)
There are two purposes for the hi-pot test. The purpose of a type test is quite different from the purpose of the routine test.
The purpose of the type test is to determine that the design engineer covered all his bases. In order to pass the hi-pot test, the design engineer must make sure that the distance between the primary circuit and the ground circuit at every point meets the spacing requirements in the standard. In addition, he must make sure that the various solid insulations that are interposed between the primary circuits and the ground circuit are thick enough so that they have more than enough electric strength to withstand the test voltage. He must do the same for the spacings and solid insulations between the primary circuits and the low-voltage secondary circuits, and, indeed, all of the insulation surrounding the primary circuits. (Note that spacings are a form of insulation.) If the design engineer does all these, the unit will pass the hi-pot test first time through and without any difficulty.
When I do a hi-pot type test, I not only determine that the unit passes the specified voltage, I also increase the voltage beyond that value until I get a breakdown. Then, I band-aid that point so it won’t break down and continue increasing the voltage until I get the next breakdown. I continue this process until I get up to two or three times the required hi-pot test voltage. I like to know what are the weakest links in the insulation system so that if I should have a breakdown in my routine testing, I have a leg up on what might be breaking down and why. The results of such testing may identify some production-dependent processes that may cause the withstand voltage to decrease.
The purpose of the routine test is to determine that the production folks covered all their bases. In order to pass the hi-pot test, the production folks must make sure that they made it like the design engineer designed it. Unless the type test was marginal, the routine test, in the end, finds gross defects in the manufacturing process. It is really difficult to set up a hi-pot test to find marginal defects in the manufacturing process; if you did so, production folks would be continually testing and tweaking to get each unit to pass, and the process could be out of control insofar as assuring that any particular unit would retain its withstand capability for any length of time. So, for all practical purposes, the routine test is to find gross defects. (Some standards recognize this fact by allowing a lower hi-pot voltage for routine tests than that required for the type tests; since we are looking for gross defects, a few hundred volts difference out of a thousand or more is insignificant. Later, we’ll discuss why a lower voltage is desirable for routine tests.)
How do you find where the breakdown is occurring?
Most of the time, this is obvious: you can see the arc. But, sometimes you can hear it, but you can’t see it. And, sometimes, it only trips the hi-pot tester, and you can’t see or hear it. Ultimately, you have to see the arc to know where the breakdown is occurring. What do you do to find the breakdown?
The trick is to narrow down the components or pieces until you are able to isolate the insulation or air-gap that is breaking. One method is to remove components from the assembly, one at a time, each time re-testing the assembly to see if the breakdown is still in the assembly or went with the component. I set the trip point on the hi-pot tester to minimum so as to limit the damage and establish repeatability. I also adjust the voltage manually to creep up on the breakdown.
Besides setting the hi-pot to its most sensitive trip, I sometimes add a 10 k to 100 k resistor in series with the output so as to limit the current and therefore the power. This, too, limits the damage done by the hi-potter to the insulation, but still allows you to see what is happening and repeat the test over and over again. This only works if the current is in the tens of microamperes during the hi-pot test; otherwise, there is too much voltage drop across the resistor, and you may not get enough voltage to see the breakdown.
Later, we’ll discuss why there may be high current during the hi-pot test, and what you can do to reduce the current during troubleshooting.
Still another technique of finding the breakdown is to use an ultrasonic translator. If your company is lucky enough to own one of these, I advise you to latch onto it. (Hardly anyone else in your company will have any use for it; you should get it before it is discarded!) The ultrasonic translator is an ultrasonic microphone with a heterodyne circuit which translates the ultrasonic frequencies to the sonic frequencies. Insulation breakdown is preceded by partial discharge which produces lots of ultrasonic noise. The ultrasonic translator allows you to hear the partial discharge long before it results in a breakdown. The microphone can be fitted with a flexible tube which can be used to search small areas for sounds of breakdown.
What should be the value of test voltage, and where does the value come from?
Simply, the electric strength of the insulation must be greater than the applied or working voltage. But, how much greater?
Answer: Any value greater than zero.
Why, then, do we test 120-volt circuits at anywhere from 900 volts to 4000 volts?
Answer: Mains or primary circuits normally have transient overvoltages on them; the electric strength of mains or primary circuits must be greater than the greatest transient overvoltage that might occur on the building power wiring. Otherwise, the insulation may fail when a transient occurs.
So, the hi-pot test voltage must be greater than the greatest transient overvoltage that can occur.
What is the greatest value of transient overvoltage?
The answer to this question is sort of like: Which came first, the chicken or the egg? The failure of insulation under transient overvoltage conditions limits the value of the transient overvoltage! So, if we have a low value of electric strength, then we will have corresponding low value of transient overvoltage. And, if we have a high value of electric strength, we will have the natural values of transient overvoltages. These natural values arise from switching inductive loads on and off the system, where the back-EMF goes into the power line. The natural values are related to the value of the inductance, the current through the inductance, and the aggregate load impedance at the point the transient is generated.
However, when the insulation fails, we either have a hazardous condition, or the circuit breaker pops open. So, we don’t want a low value of electric strength.
Again, what voltage is appropriate?
Answer: In the old days, the traditional value for the hi-pot test was 900 volts. Gradually, this increased to 1000 volts. And then, the familiar formula, 2V + 1000, gave us 1250 volts for a 125-volt rating.
There are many papers published on studies of overvoltages in household and commercial power distribution circuits. One of the most recent is “Transients on the Mains in a Residential Environment,” by Ronald B. Standler in IEEE Transactions on Electromagnetic Compatibility, May 1989.
These studies boil down to identifying the maximum transient overvoltage as 1500 volts peak, and a duration less than ten microseconds. (The new impulse test was formulated from these studies to more closely test insulations under actual conditions of use.)
In practice, if you follow the spacings specified in the various standards, and if you choose UL or CSA certified solid insulating materials, you end up with spacings with electric strength in the order of 5000 volts rms, and solid insulation worth about 5000 volts rms.
Almost any solid insulation is worth 3000 volts rms; one wag once said that two layers of Mr. Whipple’s squeezingly soft Charmin will pass 3000 volts!
It turns out that the standards for component insulations such as wire and transformer papers require electric strengths in the order of 5000 volts rms.
So, there is lots of margin built into almost every primary circuit insulating system. The actual breakdown potentials should be three or four times the worst-case peak transient voltage, 1500. This agrees with my personal experience.
Once again, what voltage is appropriate? Since the spacings and solid insulations should have several times higher dielectric strengths than those specified for the hi-pot test, the actual voltage or its waveform is not critical, and should only show up gross design or manufacturing errors.
A 1000-volt rms hi-pot very nearly covers the worst-case overvoltage (1000 volts rms = 1414 volts peak). 1000 volts rms and 1414 volts peak are the withstand voltages; the breakdown voltage should be considerably more than the withstand voltage. So, 1000 volts rms or 1500 volts peak or dc or impulse should be adequate to test whether the insulation has any gross errors. Furthermore, when the test voltage is low compared to the breakdown voltage of any part of the system, the waveform and duration of test are insignificant.
These preceding rules-of-thumb do not apply when the dielectric breakdown voltage of any component of the system is less than twice the hi-pot test voltage. As the hi-pot voltage approaches the breakdown voltage, we see the inception of partial discharge in the solid insulation. Experts report that this inception of partial discharge is also the first step in the catastrophic dielectric breakdown of solid insulation. Therefore, for routine hi-pot testing, it is imperative that the test voltage be less than the partial discharge inception voltage—unless the waveform is the impulse, and the number of impulses is limited.
Fortunately, with primary insulations we commonly use, and with the relatively low hi-pot voltages, we are usually well below the partial discharge inception voltage. However, this is a good reason to use the least practicable voltage for the routine hi-pot test.
Partial discharge is not only a function of voltage, but also a function of the time the voltage is applied. Therefore, it is prudent to use the least time practicable for the routine hi-pot test.
What current does the hi-pot tester need to supply?
The answer depends on whether the hi-pot tester is dc, ac, or impulse.
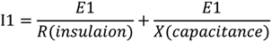
As a general rule, during the hi-pot test, the equipment under test appears to be a resistor and capacitor in parallel connected between the primary circuits and the ground circuit. The current required from the hi-pot tester depends on the values of the resistor and capacitor. The hi-pot tester must have enough current to develop the required voltage across the resistor-capacitor load.
The resistor is the insulation resistance and is of the order of 100 megohms or more. The capacitance is the natural capacitance that exists when two conductors are separated by an insulator and, for primary-to-ground, is typically in the range of 0.001 uF to 0.0025 uF depending on primary circuit complexity and excluding any line filter. With a line filter, the capacitance may be as high as 0.02 uF.
Thus, the hi-pot tester must be capable of at least:
where
I1 is the required hi-pot tester output current,
E1 is the hi-pot tester output voltage,
R (insulation) is the insulation resistance, and
X (capacitance) is the capacitive reactance.
For example, if your product had an insulation resistance of 100 megohms, a capacitance of 0.0025 uF, and hi-pot test voltage 1500 volts rms, the required hi-pot tester output current would be:
The same product with a line filter would require about ten times the natural current, or about 15 milliamperes at 1500 volts. When I’m evaluating a design, I often disconnect the line filter line-to-ground capacitors as they usually are not the culprits I’m looking for. After I remove these caps, I’m testing insulation, and I can better assess what is happening.
Here’s another way of calculating how much current the hi-pot tester must supply. If you examine the circuits for the hi-pot test and for the neutral-open, power on leakage current test, you will find that they are identical. The required current for the hi-pot tester is proportional to the equipment leakage current, and can be predicted from the following information:
where
I1 is the required hi-pot tester output current,
E1 is the hi-pot tester output voltage,
E2 is the line voltage at which leakage current was measured, and
I2 is the maximum measured leakage current.
For example, if your product was rated 120 volts, leakage current 0.5 mA maximum, and hi-pot test voltage 1500 volts, the required hi-pot tester output current would be:
If you’re using a dc hi-pot tester, you need to be concerned with the rate-of-rise of voltage. You must charge the capacitance that is in the circuit, and it takes current to do that. The charging current is given by the relationship:
Rearranging terms, if we know the value of capacitance, C, and the maximum hi-pot tester output current, we can calculate the maximum rate-of-rise of voltage.
![]()
If your dc hi-pot tester puts out 0.5 microamperes as mine does, and the capacitance of your product is 0.0025 uF, then the maximum rate-of-rise is:
If your test voltage is 1500, then you must take at least 7.5 seconds to raise the voltage from 0 to 1500. If you do it faster, either the hi-pot tester will trip, or the voltage won’t go to 1500.
There is no corresponding limitation for an ac hi-pot tester.
Now the $64 question:
At what current do you set the hi-pot tester trip for routine tests? Or, what current constitutes a failure?
We’ve already answered these questions. The trip current must be set above the current to develop the required voltage across the resistor-capacitor load. Since we are only looking for gross manufacturing defects, the actual value of the trip is not significant. It probably should be set for about 25% more current than that necessary for the resistor-capacitor load. Typical manufacturing defects are pinched wires and bent-over components. These kinds of defects result in really high current when breakdown occurs, so the trip current usually is not critical. It should be as low as practicable, but we’re not making a precision measurement.
How do you know your hi-pot tester is working? How do you know it will trip when it tests a bad unit?
Most hi-pot testers have a voltmeter on the output which is good enough to indicate the presence of voltage.
But, how do you know the trip circuit is working? We apply the voltage to a resistor which can be switched into the circuit after the hi-pot tester reaches its output voltage. Just a simple box with a resistor and a switch will suffice. What value resistor? If you know the output current at which you set the trip point, you can calculate the value of resistor which should trip the tester. We check our testers at the beginning of each shift.
What about damaging semiconductors and other components with the hi-pot test?
Semiconductors are damaged by either excessive voltage or excessive current. When the hi-pot test is successful, there is no current (except as described earlier). So, there should be no semiconductor damage when the test is successful. But, when an insulation fails, we have current from a high-voltage source which, depending on the current path, will indeed damage the semiconductors. The answer is to make sure your product has a good primary-to-ground insulation system, and you won’t have any failures.
There are reports that line filter capacitors can be damaged by the high test voltage. These fellas are supposed to be designed for such application and, if they are of good quality, should easily withstand the test voltage without any untoward effects.
The hi-pot test is neither sophisticated nor precise. The trick to making it work for you is to understand what it tests, and how the hi-pot tester works. I hope my comments have helped you better understand both of these.



