This article discusses a practical approach to designing an input filter to the switch-mode power supply (SMPS). The approach is based on the concept of negative input resistance that a SMPS presents to the filter when operated in a feedback configuration. Analytical discussion is followed by simulation and measurement results from a practical filter/SMPS implementation.
Foundations
Input signals driving a SMPS consist of pulses and thus have a high-frequency EMI noise. This noise propagates down the supply lines and has a potential of interfering with other systems sharing the same supply. Additionally, the high-frequency noise from other systems sharing the supply lines affects the input signal to the SMPS. In most designs a low-pass LC filter is inserted between the supply voltage and the SMPS.
Consider a simple block diagram of a SMPS driven by a supply voltage Vin, as shown in Figure 1.

In a closed-loop system, a constant output voltage, Vout, is to be maintained, regardless of the variations in the input voltage Vin, or the load resistance RL. Additionally, the input power, Pin, should be independent of the input voltage Vin, where
(1)
Thus, when Vin increases, (or ∆Vin > 0), Iin must decrease, (or ∆Iin < 0). Conversely, when Vin decreases, (or ∆Iin < 0), Iin must increase, (or ∆Iin > 0). In either case, during the input voltage fluctuations we have
(2)
Thus, to the supply side, the SMPS looks like a negative resistor! That is, the input resistance of the SMPS is negative. Let’s prove it.
The instantaneous value of the (negative) resistance of the SMPS is
(3)
The output power is obtained from
(4)
If we assume 100% efficiency, then
(5)
or
(6)
From Eq. (1) we get
(7)
Thus,
(8)
Utilizing Eq. (4) in Eq. (8) we have
(9)
or
(10)
Thus, in a closed-loop SMPS system, during the input voltage fluctuations the input resistance of the SMPS looks negative. This fact must be taken into account when implementing a low-pass filter at the input of the SMPS.
Figure 2 shows an ideal LC filter placed between the supply and the SMPS input.

A more realistic model of the LC filter is shown in Figure 3.

And finally, let’s augment the circuit model by loading the filter with the SMPS input impedance Rin.

The transfer function of this circuit can be obtained as follows. First, let’s calculate the impedance of the components in parallel.
(11)
Now, the transfer function is obtained from a voltage divider as
(12)
or
(13)
When excited by a unit step input the response of this filter is
(14)
The type of the response depends on the roots of the characteristic equation
(15)
or in terms of the damping ratio and undamped natural frequency
(16)
where
(17a)
and
(17b)
or
(17c)
The value of the damping ratio dictates the type of the system response as follows:
If ζ < 0, the characteristic equation has two complex roots with positive real parts. The response is an oscillating sinusoid with increasing amplitude (unstable response).
If ζ < 0, the characteristic equation has two pure imaginary roots. The response is a permanently oscillating undamped sinusoid with constant amplitude. (lossless LC tank).
If 0 < ζ < 1, the characteristic equation has two complex roots with negative real parts. The response is called underdamped; it is an oscillating sinusoid with decaying amplitude.
If ζ = 1, the characteristic equation has two repeated negative real roots. The response is called critically damped.
If ζ > 1, the characteristic equation has two negative real distinct roots. The response is termed, a damped response.
The instability in the filter-SMPS system occurs, when a particular value of Rin makes ζ = 0, or ζ < 0.
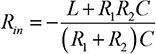
Let’s determine the value of Rin that makes the damping ratio equal to zero. From Eq. (17c) we get
(18)
Solving for Rin we get
(19)
or
(20)
Let’s calculate this resistance for the following component values
(21)
The result is Rin = –2.45 Ω. When L = 3.3µH, the result is Rin = –0.26 Ω.
One of the design criteria is [1], that the output impedance of the filter Zout, filter must be much smaller than the input impedance of the SMPS (in the absolute sense), Zin, SMPS.
(22)
The questions is how do we calculate the output impedance of the filter and the input impedance of the SMPS? Both of them are highly nonlinear and are functions of frequency. The answer is: we approximate them.
Let’s begin with the input impedance. Consider the circuit shown in Figure 5.

The (negative) input impedance is
(23)
Since the input and output powers are equal, we have
(24)
Thus, a 5W SMPS operating at the input voltage of 8V, presents a negative resistance of
(25)
Thus, according to Eq. (22), the output impedance of the filter should be much smaller than 12.8 Ω (or stated in practical terms: the smaller the output impedance the better). To determine the filter output impedance we resort to the simulations. Figure 6 shows two practical LC filters (subsequently used in the laboratory measurements). The only difference between them is the value of the inductor: 33µH vs. 3.3 µH.

The resulting output impedance plots are shown in Figure 7.

The 33 µH filter has an output impedance, Zfilter, out ≅ 11.5 Ω at 4.1 kHz. The 3.3 µH filter has an output impedance, Zfilter, out ≅ 1.1 Ω at 14 kHz. Both of these values are smaller than |Rin | but the larger one, 11.5 Ω, is very close to the value of 12.8 Ω. Remember, ideally we would want the output impedance of the filter to be much smaller than 12.8 Ω.
For stability, the equivalent resistance of the input filter output resistance, Zfilter, out in parallel with the SMPS input resistance, Rin, must be positive [2], thus
(26)
The equivalent resistance of a 33µH –SMPS combination is
(27a)
while the equivalent resistance of a 3.3µH –SMPS combination is
(27b)
Both values of equivalent impedances are positive, and thus, both designs seem to be acceptable. This conclusion is not correct, however. The condition of the positive equivalent impedance is a necessary one but not a sufficient one. We need to provide some safety margin.
It is recommended that, in the calculations equivalent impedance, ZEQ, one should use at most a half of the Rin value. Let’s recalculate the equivalent impedances for both filters, with the new value of Rin =-12.8⁄2 = -6.4 Ω.
(28a)
(28b)
Since the equivalent impedance of the 33µH filter/SMPS is negative, this design should be rejected. Note that this filter also violates the condition in Eq. (22), since 11.5 > 6.4 Ω. The equivalent impedance of the 3.3µH filter/SMPS is positive; this filter also satisfies the condition in Eq.(22) , since 11.5 < 6.4 Ω .
Verification
The experimental setup used in the design verification is shown in Figure 8 and Figure 9, respectively, [3].


Time domain measurement results for both filters are shown in Figure 10.

It is apparent that the 3.3µH filter is stable, with minimal input voltage variations at the SMPS input. The 33µH filter oscillates with large input voltage variations.
Figure 11 compares the conducted emissions measurements on the battery line for both designs. Clearly the 3.3µH filter outperforms the 33µH filter.

References
