Network analyzer measurements require the calibration procedure which utilizes a calibration kit, consisting of a short, open, and a 50 Ω load attachment. The easiest way to verify that the calibration procedure has been done correctly is by utilizing a Smith chart menu on a network analyzer. This column introduces the basics of Smith chart and shows their applicability in the calibration procedure verification.
Smith chart is based on a polar plot of the voltage reflection coefficient at the transmission line load. Let’s review this concept first.
Reflections at the Load on a Transmission Line
Consider a transmission line of length L driven by a sinusoidal voltage source
G with a source resistance RG, and terminated by a resistive load RL, as shown in Figure 1. ZC is the characteristic impedance of the transmission line and T is the time it takes for the voltage wave to travel from the source to the load.

When the switch closes at t = 0, a forward voltage wave, V +, originates at z = 0 and travels toward the load. This shown in Figure 2, (see [1] for the detailed discussion).

At the time T this voltage wave reaches the load and sets up a reflection, V –. This is shown in Figure 3.

The reflected voltage, V -, is related to the incident voltage, V +, by
(1)
where ΓL is the load reflection coefficient:
(2)
Next, we will discuss three special cases of the reflection coefficient [2], (these three cases are directly applicable to the network analyzer calibration procedure).
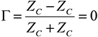
Short-Circuited Line RL = 0
In this case the reflection coefficient is
(3)
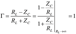
Open-Circuited Line RL = ∞
In this case the reflection coefficient is
(4)
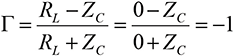
Matched Line RL = ZC
In this case the reflection coefficient is
(5)
Smith Chart Basics
The Smith chart, shown in Figure 4, is based on a polar plot of the voltage reflection coefficient,
[3].

In general the load reflection coefficient is complex and thus can be expressed as
(6)
Thus any reflection coefficient can be plotted as a unique point on the Γr – Γi plane, as shown in Figure 5. The magnitude, Γ, is plotted as a radius from the center of the chart, and the angle θ, (-180°≤ θ ≤ 180°) is measured counterclockwise from the right-hand side of the horizontal Γr axis.

Each point on the Smith chart corresponds to a unique value of the voltage reflection coefficient at the load. Thus the three special cases of the reflection coefficient discussed in the previous section (short, open matched load) correspond to the three special points shown in Figure 6.

Calibration Procedure
The calibration procedure utilizes a calibration kit, like the ones shown in Figure 7, which consists of a short, open, 50 Ω load attachment, and often a thru connector.

A few different types of calibrations can be performed, depending on the parameter of interest [4]. If only the s11 measurements are required then the calibration is performed at port 1 with a short, open and 50 Ω (load) terminations as shown in Figure 8.

The results of the calibration can be verified using Smith chart menu of the network analyzer. When the calibration procedure is successful, the Smith chart plots of the voltage reflection coefficient should resemble the ones shown in Figures 9 through 11.



On the other hand, if the calibration procedure is not performed correctly or the cables or connectors are damaged, the calibration results might look like the ones shown in Figures 12 and 13.


In our measurement the fault was caused by a damaged SMA connector, shown in Figure 14.

References
- Bogdan Adamczyk, “Transmission Line Reflections at a Resistive Load,” In Compliance Magazine, January 2017.
- Bogdan Adamczyk, Foundations of Electromagnetic Compatibility with Practical Applications, Wiley, 2017.
- Ulaby, T. U. and Ravaioli, U., Fundamentals of Applied Electromagnetics, 7th ed., Pearson, Upper Saddle River, NJ, 2015.
- Bogdan Adamczyk and Jim Teune, “S-Parameter Tutorial – Part II: EMC Measurements and Testing,” In Compliance Magazine, September 2018.
