This article explains how to use a Smith Chart to determine the voltage standing wave ratio (VSWR). The concept of the standing waves and VSWR was described in detail in [1], while the Smith Chart construction and its use for determining the input impedance to the transmission line was discussed in [2,3,4].
Let’s briefly review these concepts to provide the background needed for determining the VSWR graphically using a Smith Chart. Consider the transmission line circuit shown in Figure 1. A sinusoidal voltage source
S with its source impedance
S drives a lossless transmission line with characteristic impedance ZC, terminated in an arbitrary load
L.

In this model, the load is located at d = 0, and the source is located at d = L. The magnitudes of the voltage and current at a distance d away from the load are [1]
(1a)
(1b)
where |
+| denotes the amplitude of the forward propagating voltage wave, β is the phase constant, related to the wavelength, λ, by
(2)
and
L the load reflection coefficient given by
(3)
A sample plot of the voltage and current magnitudes is shown in Figure 2.

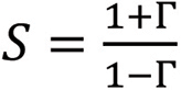
Except for the case of a matched load, the magnitudes of the voltage and current vary along the line. This variation is quantitatively described by the voltage standing wave ratio (VSWR) defined as
(4)
When the load is short-circuited or open-circuited,
|min| = 0 , and
(5)
When the load is matched, we have
(6)
In general,
(7)
VSWR can also be expressed in terms of the magnitude of the load reflection coefficient as
(8)
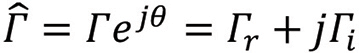
Let’s return to the load reflection coefficient. Being a complex quantity, it can be expressed either in polar or rectangular form as
(9)
If we create a complex plane with a horizontal axis Γr and a vertical axis Γi , then the load reflection coefficient will correspond to a unique point on that plane, as shown in Figure 3.

The magnitude of the load reflection coefficient is plotted as a directed line segment from the center of the plane. The angle is measured counterclockwise from the right-hand side of the horizontal Γr axis.
For passive loads, the magnitude of the load reflection coefficient is always
(10)
Figure 4 shows a Smith Chart with the circle (not a unit circle) centered at the origin of the complex plane.

All points on this circle have the same value of |
L| = Γ. Thus, this is a constant Γ circle. Now, recall Eq. (8), repeated here
(11)
or, equivalently,
(12)
Since Γ is constant, all points on this circle will have the same value of S. Thus, this is also a constant VSWR circle. To determine the value of S, we proceed as follows [5].
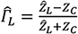
Consider a load with the normalized load impedance [2]
(13)
represented by point A in Figure 5.

Let’s draw a constant S circle passing through point A. This circle intersects the real Γr axis at two points, B and C. At both points, we have
(14)
Since both points, B and C, lie on the real axis, the imaginary part of the normalized load impedance at those points is zero.
(15)
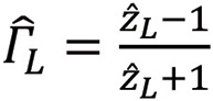
Now, the load reflection coefficient in Eq. (3) can be expressed in terms of the normalized load impedance as [2]
(16)
Utilizing Eq. (12) in Eq (13) we have
(17)
Points C corresponds to rL < 1 and point B corresponds to rL > 1 . Let’s compare Eq. (17) with Eq. (11), repeated as Eq. (18).
(18)
This comparison reveals that at point B, rL must be equal to the VSWR, as shown in Figure 6.

References
- Adamczyk, B., “Standing Waves on Transmission Lines and VSWR Measurements,” In Compliance Magazine, November 2017.
- Adamczyk, B., “Smith Chart and Input Impedance to Transmission Line – Part 1: Basic Concepts,” In Compliance Magazine, April 2023.
- Adamczyk, B., “Smith Chart and Input Impedance to Transmission Line – Part 2: Resistance and Reactance Circles,” In Compliance Magazine, May 2023.
- Adamczyk, B., “Smith Chart and Input Impedance to Transmission Line – Part 3: Input Impedance to the Line,” In Compliance Magazine, June 2023.
- Fawwaz Ulaby and Umberto Ravaioli, “Fundamentals of Applied Electromagnetics,” Pearson Education Limited, 7th Ed., 2015.
