This is the first of the three articles devoted to the Smith Chart and the calculations of the input impedance to a lossless transmission line. This article begins with the load reflection coefficient and shows the details of the calculations leading to the resistance and reactance circles that are the basis of the Smith Chart. A sample Smith Chart is shown in Figure 1, [1].

Quite a daunting picture at first, isn’t it? It isn’t! To gain an insight into it let’s start with some basics of the transmission line model and the load reflection coefficient. It is the load reflection coefficient that is the foundation of the Smith Chart.
1. Transmission Line Model and Load Reflection Coefficient
A typical model of a transmission line is shown in Figure 2.

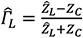
In this model, the source is located at z = 0, and the load is located at z = d, [2]. In some applications it is convenient to use an alternative model, shown in Figure 3.

In this model, the load is located at d = 0, and the source is located at d = L, [3]. Note that, in either model, the input impedance to the line at any location is always calculated looking towards the load [4].
The load reflection coefficient, in either model, can be obtained directly from the knowledge of the load and the characteristic impedance of the line as
(1.1)
There are three special cases of the load reflection coefficient
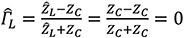
Short-Circuited Line,
L = 0
(1.2)
Open-Circuited Line,
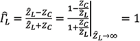
L = ∞
(1.3)
Matched Line,
L = ZC
(1.4)
2. Load Reflection Coefficient and Γ Plane
Being a complex quantity, the load reflection coefficient be expressed either in polar or rectangular form as
(2.1)
If we create a complex plane with a horizontal axis Γr and a vertical axis Γi, then the load reflection coefficient will correspond to a unique point on that plane, as shown in Figure 4.

The magnitude of the load reflection coefficient is plotted as a directed line segment from the center of the plane. The angle is measured counterclockwise from the right-hand side of the horizontal Γr axis.
For passive loads, the magnitude of the load reflection coefficient is always
(2.2)
The magnitude of 0 (center of the complex plane) corresponds to a matched load, the magnitude of 1 with the angle of 0º represents an open circuit, while the magnitude of 1 with the angle of 180º represents a short circuit. Shown in Figure 4 is also a unit circle, which sets the boundary for all the points representing a passive load reflection coefficient.
Let’s return to the load reflection coefficient given by Eq. (1.1) and divide the numerator and denominator by the characteristic impedance of the line, ZC.
(2.3)
or
(2.4)
where the small letter
L denotes the normalized load impedance, i.e.,
L =
L /ZC. Smith Chart is based on the plot of the load reflection coefficient utilizing this normalized load impedance, as explained next.
3. Load Reflection Coefficient and Normalized Load Impedance
Equation (2.4) expresses the load reflection coefficient in term of the normalized load impedance. This equation can be solved for the normalized load impedance in terms of the load reflection coefficient as follows.
Multiplying both sides by the denominator of the right-hand side, we obtain
(3.1)
or
(3.2)
and thus
(3.3)
leading to
(3.4)
and finally,
(3.5)
Both the normalized load impedance and the load reflection coefficient are complex quantities and a such they can be expressed in terms of their real and imaginary parts. That is,
(3.6)
(3.7)
where rL is the normalized load resistance and xL is the normalized load reactance.
Utilizing Eqns. (3.6) and (3.7) in Eq. (3.5) we obtain
(3.8)
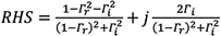
For now, let’s focus on the right-hand side (RHS) of Eq. (3.8). Multiplying numerator and denominator by the complex conjugate of the denominator we get
(3.9)
Multiplying out the terms in the numerator and grouping the real and imaginary part gives
(3.10)
or
(3.11)
This result can be substituted for the right-hand side of Eq. (3.8) resulting in
(3.12)
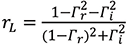
Equating the real and imaginary parts we get
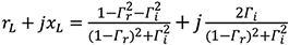
(3.13)
(3.14)
For now, let’s focus on Eq. (3.13). Multiplying both sides by the denominator of the right-hand side, we obtain
(3.15)
or
(3.16)
Multiplying out and rearranging we get
(3.17)
or
(3.18)
Dividing both sides by (1 + rL) we have
(3.19)
Adding
to both sides results in
(3.20)
leading to
(3.21)
or
(3.22)
and finally,
(3.23)
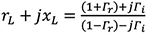
Now, let’s look at Eq. (3.14). Multiplying both sides by the denominator of the right-hand side, we obtain
(3.24)
or
(3.25)
Multiplying out and rearranging we get
(3.26)
Dividing both sides by xL we have
(3.27)
Adding (1 + 1/x2L ) to both sides results in
(3.28)
leading to
(3.29)
Equations (3.23) and (3.29) have the form of
(3.30)
which is an equation describing a circle in the xy plane. This circle has a radius b and is centered at (x, y ) = (h, k ).
Thus, Eq. (3.23), repeated here
(3.31)
describes a circle in the ΓrΓi plane. This circle has a radius
(3.32)
and is centered at
(3.33)
We refer to this circle as the resistance circle.
Similarly, Eq. (3.29), repeated here
(3.34)
describes a circle of
(3.35)
centered at
(3.36)
We refer to this circle as the reactance circle.
References
- https://upload.wikimedia.org/wikipedia/commons/7/7a/Smith_chart_gen.svg
- Adamczyk, B., “Sinusoidal Steady State Analysis of Transmission Lines – Part II: Voltage, Current, and Input Impedance Calculations – Circuit Model 1,” In Compliance Magazine, February 2023.
- Adamczyk, B., “Sinusoidal Steady State Analysis of Transmission Lines – Part III: Voltage, Current, and Input Impedance Calculations – Circuit Model 2,” In Compliance Magazine, March 2023.
- Adamczyk, B., “Sinusoidal Steady State Analysis of Transmission Lines – Part I: Transmission Line Model, Equations and Their Solutions, and the Concept of the Input Impedance to the Line,” In Compliance Magazine, January 2023.
