Near-Field Shielding Effectiveness of a Solid Conducting Shield
This is the sixth of seven articles devoted to the topic of shielding to prevent electromagnetic wave radiation. The first article [1] discussed the reflection and transmission of uniform plane waves at a normal boundary. The second article [2] addressed the normal incidence of a uniform plane wave on a solid conducting shield with no apertures. The third article [3] presented the exact solution for the shielding effectiveness of a solid conducting shield. The fourth article [4] presented the approximate solution obtained from the exact solution. The fifth article [5] discussed the wave impedance of electric and magnetic dipoles. In this article, we will use the concept of wave impedance to determine the shielding effectiveness in the near field.
Near-Field Shielding – Electric Sources
Note: The following derivations are valid under the assumption that the shield made of a good conductor is much thicker than the skin depth, at the frequency of interest.
The shielding effectiveness in the near field for electric sources is:
(1)
The absorption loss in the near field is the same for the electric sources and is the same as it was in the far field [4]. That is:
(2a)
or
(2b)
when the conductor thickness is expressed in meters, or
(2c)
when the conductor thickness is expressed in inches.
Near-field shielding formulas for the reflection loss can be derived using the far-field shielding results for the reflection loss and the concept of the near-field wave impedance discussed in the previous article [5].
The reflection loss of a good, thick conductor in the far field was derived in [4] as:
(3)
The near-field wave impedance for electric sources was derived in [5] as:
(4)
The reflection loss for the near-field electric sources, RdB,e, is obtained by substituting this wave impedance for the intrinsic impedance of free space in Equation (3).
Thus,
(5)
or
(6)
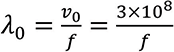
Wavelength in free space can be expressed as:

(7)
Now, recall Equation (26) from [4] for the magnitude of the intrinsic impedance of the shield:
(8)
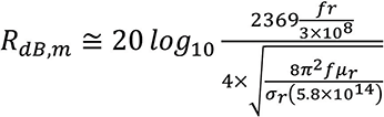
Substituting Equations (7) and (8) into Equation (6), we get:
(9)
or [6]:
(10)
Thus, the near-field shielding effectiveness for electric field sources is
(11)
Where AdB is given by Eqs. (2).
Near-Field Shielding – Magnetic Sources
The reflection loss of a good, thick conductor in the far field was derived in [4] as:
(12)
The near-field wave impedance for magnetic sources was derived in [5] as:
(13)
The reflection loss for the near-field magnetic sources, RdB,e, is obtained by substituting this wave impedance for the intrinsic impedance of free space in Equation (12).
Thus:

(14)
or
(15)
where
(16)
(17)
Thus:
(18)
or [6]:
(19)
Thus, the near-field shielding effectiveness for magnetic field sources is:
(20)
where AdB is given by Eqs. (2).
Near-Field Shielding Effectiveness – Copper vs. Steel – Simulations
In this section, we compare the near-field shielding effectiveness of copper and steel (SAE1045). Table 1 shows the relative conductivity and relative permeability of these two shield materials.
Let’s begin with the reflection loss for electric field sources, at a distance of 5 mm, computed from Eq. (10), repeated here:
(21)
Figure 1 shows the electric field reflection loss in the frequency range 100 Hz – 1 GHz. Note that the reflection loss of copper is higher over the entire frequency range.

Next, we compare the reflection loss for magnetic field sources. It is calculated at a distance of 5 mm from the source and is computed from Eq. (19), repeated here:
(22)
Figure 2 shows the magnetic field reflection loss in the frequency range 100 Hz – 1 GHz.. Note that the reflection loss of copper is higher over the entire frequency range.

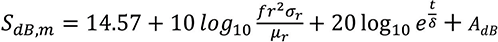
The absorption loss, for 20-mil thick shields, is calculated from Eq. (2c), repeated here:
(23)
and is shown in Figure 3. Note that the absorption loss of steel is higher over the entire frequency range.

The total shielding effectiveness for electric field sources, shown in Figure 4, is calculated from:
(24)
where and are calculated from Eq. (21) and (23), respectively.

Note that up to the frequency of about 4200 Hz, the shielding effectiveness of copper is higher than that of steel. Beyond that frequency, the opposite is true.
The total shielding effectiveness for magnetic field sources, shown in Figure 5, is calculated from:
(25)
where RdB,e and AdB are calculated from Eq. (22) and (23), respectively.

Note that up to the frequency of about 4400 Hz, the shielding effectiveness of copper is higher than that of steel. Beyond that frequency, the opposite is true.
References
Bogdan Adamczyk, Shielding to Prevent Radiation – Part 1: Uniform Plane Wave Reflection and Transmission at a Normal Boundary, In Compliance Magazine, June 2025.
Bogdan Adamczyk, Shielding to Prevent Radiation – Part 2: Uniform Plane Wave Normal Incidence on a Conducting Shield, In Compliance Magazine, July 2025.
Bogdan Adamczyk, Shielding to Prevent Radiation – Part 3: Far-Field Shielding Effectiveness of a Solid Conducting Shield – Exact Solution, In Compliance Magazine, August 2025.
Bogdan Adamczyk, Shielding to Prevent Radiation – Part 4a: Far-Field Shielding Effectiveness of a Solid Conducting Shield – Approximate Solution, In Compliance Magazine, September 2025.
Bogdan Adamczyk, Shielding to Prevent Radiation – Part 4b: Far-Field Shielding Effectiveness of a Solid Conducting Shield – Approximate Solution, In Compliance Magazine, October 2025.
Bogdan Adamczyk, Shielding to Prevent Radiation – Part 5: Near-Field Wave Impedance of Electric and Magnetic Dipoles, In Compliance Magazine, November 2025.
Bogdan Adamczyk, Principles of Electromagnetic Compatibility – Laboratory Exercises and Lectures, Wiley, 2023.
