This is Part 4B of seven devoted to the topic of shielding to prevent electromagnetic wave radiation. The first article [1] discussed reflection and transmission of uniform plane waves at a normal boundary. The second article, [2], addressed the normal incidence of a uniform plane wave on a solid conducting shield with no apertures. The third article, [3], presented the exact solution for the shielding effectiveness of a solid conducting shield. In Part A of the fourth article [4], Version 1 of the approximate solution was derived. In this article, a more practical Version 2 of the approximate solution (obtained from Version 1) is presented.
Shielding Effectiveness – Approximate Solution – Version 2
An approximate solution for the reflection loss (Version 1) was derived in [4, Eq. (10)] as
(1)
Substituting h0 = 120p and using Eq. (24) (from [4]) in Eq. (1), we get
(2)
resulting in
(3)
This is an alternative expression to Eq. (1) for the reflection loss for good and thick conductors in the far field. Note that the reflection loss is greatest for high conductivity-, low permeability- materials, and at low frequencies.
Now, let’s derive an alternative expression for the absorption loss. The exact formula was given by Eq. (11) in [4] as
(4)
or
(5)
Skin depth in good conductors is given by [4]
(6)
Using Equations (22) and (23) (from [4]), in Eq.(6), we get
(7)
Substituting this result into Eq. (5), we get an alternative formula for the absorption loss of good conductors in the far field as (with the conductor thickness t in meters)
(8)
When the conductor thickness is expressed in inches, this formula becomes
(9)
This is the alternative expression to Eq.(11) in [4] for the absorption loss for good and thick conductors in the far field. Note that the absorption loss is greatest for high conductivity-, high permeability- materials, and at high frequencies.
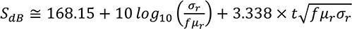
The total shielding effectiveness is
(10a)
or, utilizing Equations (3) and (9)
(10b)
Far-Field Shielding Effectiveness – Copper vs. Steel – Simulations
In this section, we compare far-field shielding effectiveness of copper and steel (SAE1045). Table 1 shows the relative conductivity and relative permeability of these two shield materials.
Let’s begin with the reflection loss, computed from
(11)
Figure 1 shows the reflection loss in the frequency range 100 Hz – 1 GHz. Note that the reflection loss of copper is higher over the entire frequency range.

The absorption loss, for 20-mil thick shields, is calculated from
(12)
It is shown in Figure 2. Note that the absorption loss of steel is higher over the entire frequency range.

The total shielding effectiveness is calculated from Eq. (10b) and is shown in Figure 3.

Note that up to the frequency of about 4200 Hz, the shielding effectiveness of copper is higher than that of steel. Beyond that frequency, the opposite is true.
References
- Bogdan Adamczyk, “Shielding to Prevent Radiation – Part 1: Uniform Plane Wave Reflection and Transmission at a Normal Boundary,” In Compliance Magazine, June 2025.
- Bogdan Adamczyk, “Shielding to Prevent Radiation – Part 2: Uniform Plane Wave Normal Incidence on a Conducting Shield,” In Compliance Magazine, July 2025.
- Bogdan Adamczyk, “Shielding to Prevent Radiation – Part 3: Far-Field Shielding Effectiveness of a Solid Conducting Shield – Exact Solution,” In Compliance Magazine, August 2025.
- Bogdan Adamczyk, “Shielding to Prevent Radiation – Part 4A: Far‑Field Shielding Effectiveness of a Solid Conducting Shield – Approximate Solution – Version 1,” In Compliance Magazine, September 2025.
