Far-Field Shielding Effectiveness of Solid Conducting Shield – Approximate Solutions
This is the first part of the fourth installment in a series devoted to the topic of shielding to prevent electromagnetic wave radiation. The first article [1] discussed reflection and transmission of uniform plane waves at a normal boundary. The second article, [2], addressed the normal incidence of a uniform plane wave on a solid conducting shield with no apertures. The third article, [3], presented the exact solution for the shielding effectiveness of a solid conducting shield. In this article, two approximate, yet accurate, solutions are obtained from the exact solution.
Shielding Effectiveness – Approximate Solution – Version 1
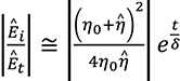
The approximate solution for the shielding effectiveness is obtained from the exact solution of the previous article, [3]:
(1a)
where
(1b)
Let’s investigate the consequence of the assumption that the shield is made of a good conductor. Intrinsic impedance of a good conductor, at the frequencies of interest, is much smaller than the intrinsic impedance of free space. That is << η0. (For instance, the magnitude of the intrinsic impedance of copper at 1 MHz is 3.69 × 10−4 << 377 Ω).
It follows,
(2)
If the shield is thick, t << δ, then we have
(3)
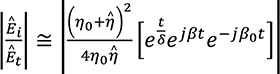
and the right-hand side of Eq. (1) can be approximated by
(4)
or
(5)
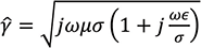
Furthermore, for a good conductor, we have
(6)
and Eq. (5) simplifies to
(7)
This is the approximate solution for a good and thick conductor in far field. In dB, this solution becomes
(8)
or
(9)
where
(10)
(11)
Note that the approximate reflection loss is different from the exact reflection loss, (Eq. (49) in [3]) while the absorption loss is the same as in the exact solution. Also note that the multiple-reflection loss is not present in Eq. (8), which means that for a good and thick conductor in far field, it can be ignored.
Shielding Effectiveness – Approximate Solution
The approximate solution for the reflection loss given by Eq. (12) and the exact solution for the absorption loss given by Eq. (11) can be expressed in more practical forms. To derive these alternative forms, we need some parameter relationships. Recall the expressions defining the propagation constant and the intrinsic impedance (Equations (6) and (7) in [2]).
(12)
(13)
Thus,
(14)
or
(15)
We will return to this equation shortly.
The propagation constant in Eq. (12) can be expressed as
(16)
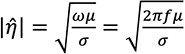
For good conductors, [4],
(17)
Thus, the propagation constant in Eq. (16) can be approximated by
(18)
Using this result in Eq. (15), we get
(19)
or
(20)
and thus
(21)
Absolute permeability can be expressed in terms of relative permeability (with respect to free space) as
(22)
Absolute conductivity can be expressed in terms of relative conductivity (with respect to copper) as
(23)
Using Equations (22) and (23) in Eq. (21) we have
(24)
In the second part of this installment, we will utilize the above parameter relationships and present a more practical solution for the far field shielding effectiveness of a solid conducting shield.
References
- Bogdan Adamczyk, “Shielding to Prevent Radiation – Part 1: Uniform Plane Wave Reflection and Transmission at a Normal Boundary,” In Compliance Magazine, June 2025.
- Bogdan Adamczyk, “Shielding to Prevent Radiation – Part 2: Uniform Plane Wave Normal Incidence on a Conducting Shield,” In Compliance Magazine, July 2025.
- Bogdan Adamczyk, “Shielding to Prevent Radiation – Part 3: Far-Field Shielding Effectiveness of a Solid Conducting Shield – Exact Solution,” In Compliance Magazine, August 2025.
- Bogdan Adamczyk, Principles of Electromagnetic Compatibility – Laboratory Exercises and Lectures, Wiley, 2023.
