Part 3: Far-Field Shielding Effectiveness of a Solid Conducting Shield – Exact Solution
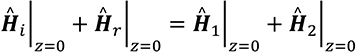
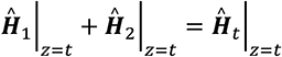
This is the third of seven articles devoted to the topic of shielding to prevent electromagnetic wave radiation. The first article [1] discussed reflection and transmission of uniform plane waves at a normal boundary. The second article [2] addressed normal incidence of a uniform plane wave on a solid conducting shield with no apertures. The article concluded with the definition of shielding in the far field given by
(1)
This article presents the exact solution to Equation (1). The subsequent article will present the approximate solutions.
Figure 1 shows a conducting shield of thickness t, conductivity σ, permittivity ε, and permeability µ, surrounded on both sides by air (free space, and thus a perfect dielectric) [2]. Initially, there is no current density at the interfaces.

A uniform plane wave is normally incident on its left interface. Uniformity assumption, together with normal incidence, means that the shield is in the far field of the radiation source.
The incident wave, upon arrival at the left most boundary (
), will be partially reflected (
) and partially transmitted (
) through the shield.
The transmitted wave (
), upon arrival at the right most boundary, will be partially reflected (
) and partially transmitted (
) through the shield.
The reflected wave (
) propagates back through the shield and strikes the first interface, incident from the right.
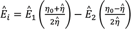
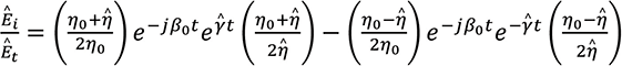
In [2], the incident wave is described by
(2a)
(2b)
The reflected wave is described by
(3a)
(3b)
The wave transmitted through the left interface is described by
(4a)
(4b)
The wave reflected at the right interface is described by
(5a)
(5b)
Finally, the transmitted wave through the right interface is described by
(6a)
(6b)
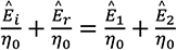
The magnitude of incident field,
, is assumed to be known. In order to determine the magnitude of the transmitted field,
, we need to determine the magnitudes of the remaining waves,
,
,
. Thus, we need four equations in four unknowns. These are generated by enforcing the boundary conditions on the field vectors at the two boundaries z = 0 and z = t.
Continuity condition of the tangential components of the electric fields at the left interface produces [3]
(7)
or
(8)
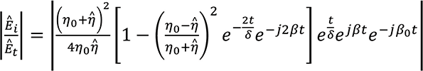
leading to
(9)
Continuity condition of the tangential components of the magnetic fields at the left interface produces
(10)
or
(11)
leading to
(12)
Continuity condition of the tangential components of the electric fields at the right interface produces
(13)
or
(14)
leading to
(15)
Continuity condition of the tangential components of the magnetic fields at the right interface produces
(16)
or
(17)
leading to
(18)
Thus, we need to solve four equations: (9), (12), (15), and (18), repeated here
(19)
(20)
(21)
(22)
Towards this end, let us divide Eq. (21) by
to obtain
(23)
Adding Equations (22) and (23) gives
(24)
or
(25)
from which we obtain
as
(26)
Subtracting Eq. (22) from Eq. (23) gives
(27)
or
(28)
From which we obtain
as
(29)
Next, let us divide Eq. (19) by η0 to obtain
(30)
Adding Equations (20) and 30 gives
(31)
or
(32a)
from which we obtain
as
(32b)
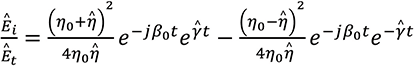
Substituting for
from Eq. (26) and
from Eq. (29), we obtain
(33)
or
(34)
or
(35)
or
(36)
and thus
(37)
Let us express the propagation constant
as
(38)
For a good conductor, the attenuation constant is related to skin depth by
(39)
and thus the propagation constant becomes
(40)
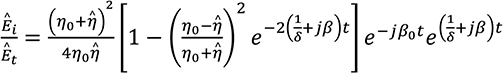
Using Eq. (40) in Eq. (37) gives
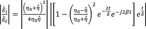
(41)
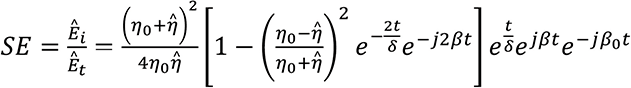
and the shielding effectiveness becomes
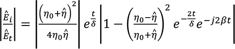
(42)
The magnitude of the shielding effectiveness is
(43)
or
(44)
or
(45)
It is convenient to express the shielding effectiveness in decibels
(46)
Then, utilizing Eq. (45), the shielding effectiveness in dB becomes
(47)
or
(48)
where RdB is called the reflection loss and represents the portion of the incident field that is reflected at the shield interface. It is given by
(49)
AdB is called the absorption loss and represents the portion of the incident field that crosses the shield surface and is attenuated as it travels through the shield. It is given by
(50)
MdB is called the multiple-reflection loss and represents the portion of the incident field that undergoes multiple reflections within the shield. It is given by
(51)
The reflection and absorption losses are positive numbers (in dB), while the multiple reflection loss is a negative number (in dB). It, therefore, reduces the shielding effectiveness.
The solution in Equation (42) or Equation (47) was obtained for the shield made of a good conductor under the assumption of normal incidence of the uniform wave, i.e., when the shield is in the far field of the radiation source. The solution in Equation (42) or (47) is often referred to as the exact solution.
In the next article, we will make some reasonable approximations that will greatly simplify this solution without any significant loss of accuracy.
References
- Bogdan Adamczyk, “Shielding to Prevent Radiation – Part 1: Uniform Plane Wave Reflection and Transmission at a Normal Boundary,” In Compliance Magazine, June 2025.
- Bogdan Adamczyk, “Shielding to Prevent Radiation – Part 2: Uniform Plane Wave Normal Incidence on a Conducting Shield,” In Compliance Magazine, July 2025.
- Bogdan Adamczyk, Principles of Electromagnetic Compatibility – Laboratory Exercises and Lectures, Wiley, 2023.
