Uniform Plane Wave Reflection and Transmission at a Normal Boundary
This is the first of seven articles devoted to the topic of shielding to prevent electromagnetic wave radiation. The shielding theory is based on the accepted theory originally presented in [1] and embraced by many EMC experts [2,3,4]. The results presented here are valid under the assumption of a uniform plane wave with normal (perpendicular) incidence on a boundary between two media.
Fundamental Framework
Shielding theory is based on three fundamental concepts:
- reflection and transmission of electromagnetic waves at the boundaries of two media
- radiated fields of the electric and magnetic dipole antennas
- wave impedance of an electromagnetic wave
The first concept leads to the analytical formulas for the far-field shielding effectiveness of a metallic shield. When combined with the concepts of the fundamental dipole antennas and wave impedance, the far-field formulas lead to the expressions for the near-field shielding effectiveness.
Uniform Plane Wave
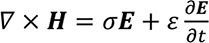
We will begin our shielding discussion with the concept of a uniform plane wave. This concept was presented in [5] and is briefly reviewed here. Since the uniform plane wave is an electromagnetic wave, it must satisfy Maxwell’s curl equations, which for the source-free media in the time domain are given by
(1a)
(1b)
When solving these equations, it is customary to have the E field point in the positive x direction, as shown in Figure 1.

In a sinusoidal-steady state, the solution of Equations (1a) and (1b) is [6],
(2a)
(2b)
where
(3)
is the propagation constant and
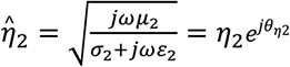
(4)
is the complex intrinsic impedance of the medium.
The solution in Equations (2a) and (2b) consists of the superposition of the forward and backward propagating waves.
Reflection and Transmission at a Normal Boundary
In the next article, we will discuss the electromagnetic wave shielding in the far field. To derive the equations describing this phenomenon, we need to understand the reflection and transmission of electromagnetic waves at the boundaries of two media. We will consider a normal incidence of a uniform plane wave on the boundary between two media, as shown in Figure 2.

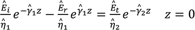
When the wave encounters the boundary between two media, a reflected and transmitted wave is created [2,7]. The incident wave is described by
(5a)
(5b)
while the reflected wave is expressed as
(6a)
(6b)
where the propagation constant and the intrinsic impedance in medium 1 are given by
(7)
(8)
The transmitted wave is represented as
(9a)
(9b)
where the propagation constant and the intrinsic impedance in medium two are given by
(10)
(11)
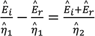
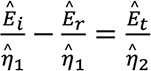
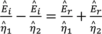
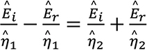
At the boundary of the two media, the tangential component of the electric field intensity is continuous [6]. Thus,
(12)
or
(13)
leading to
(14)
The boundary condition imposed on the magnetic field (when the boundary is free of current density) requires that the tangential component of the magnetic field intensity must be continuous. Thus,
(15)
or
(16)
leading to
(17)
Substituting Eq. (14) into Eq. (17) results in
(18)
or
(19)
or
(20)
or
(21)
or
(22)
Leading to the definition of the reflection coefficient at the boundary as
(23)
Thus the reflected wave is related to the incident wave by
(24)
From Eq. (14) we get
(25)
Substituting Eq. (25) into Eq. (17) results in
(26)
or
(27)
or
(28)
or
(29)
or
(30)
Leading to the definition of the transmission coefficient at the boundary as
(31)
Thus the transmitted wave is related to the incident wave by
(32)
The next article in the series will use the results presented here to discuss the uniform plane wave incidence on a solid conducting shield in the far field.
References
- Sergei Alexander Schelkunoff, Electromagnetic Waves, D. van Nostrand Company Inc., 1943
- Clayton R. Paul, Introduction to Electromagnetic Compatibility, Wiley, 2006.
- Henry W. Ott, Electromagnetic Compatibility Engineering, Wiley, 2009.
- Todd H. Hubing, et al., Analysis and Comparison of Plane Wave Shielding Effectiveness Decompositions, IEEE Transactions on Electromagnetic Compatibility, Vol. 56, No. 6, December 2014.
- Bogdan Adamczyk, “Skin Depth in Good Conductors,” In Compliance Magazine, February 2020.
- Bogdan Adamczyk, Foundations of Electromagnetic Compatibility with Practical Applications, Wiley, 2017.
- Bogdan Adamczyk, Principles of Electromagnetic Compatibility – Laboratory Exercises and Lectures, Wiley, 2023.
