Being an Account of Explorations Into an EMC-Forbidden Zone
Introduction
This short article provides mathematical background for the longer “(Re)Discovering The Lost Science of Near Field Measurements” article presently serialized in this magazine.
This brief, lightly mathematical treatment demonstrates the true nature of the quasi-static electric and magnetic fields in the immediate vicinity of an excited dipole. The results are quite different than those presented in electromagnetics texts and electromagnetic compatibility handbooks.
Electromagnetic Radiation – Background Primer
Classical physics tells us that electromagnetic radiation comes from accelerated electric charges. An accelerated charge (dI/dt or d2Q/dt2) requires the existence of both a moving charge (dQ/dt or I, current), and the charge itself, Q.
Beginning with a net static charge alone, there is a static electric field (Gauss & Coulomb). If the charge is moving at a constant rate – direct current – there is a magnetic field (Ampere and Biot-Savart). Finally, if the current changes with time, then there is induction and radiation (Faraday/Maxwell).
References
- Hertz, Heinrich, The Forces of Electric Oscillation, Treated According to Maxwell’s Theory, Wiedemann’s Annalen, 1889. English translation by D. E. Jones, originally published by MacMillan and Sons, London, 1893.
- Pierce, George W., Electric Oscillations and Electric Waves, McGraw-Hill, NY. 1920.
- Skilling, H.H. Fundamentals of Electric Waves, John Wiley & Sons, NY, 1942.
- Handbook on Radio Frequency Interference, Volume 1, Fundamentals of Electromagnetic Interference, Frederick Research Corporation, 1962.
- Johnk, C.T.A., Engineering Electromagnetic Fields and Waves, John Wiley & Sons, NY, 1975.
- Paul, Clayton, Introduction to Electromagnetic Compatibility, John Wiley & Sons, NY. 1992.
- Adamczyk, Bogdan, Foundations of Electromagnetic Compatibility, John Wiley & Sons, 2017.
Hertzian Dipole Fields
In equation set (1) – the fields of the Hertzian dipole – the 1/r3 contributions are from the static or quasi‑static charge separation. The 1/r2 terms are from the induction field, and the 1/r terms represent the radiated fields.

These equations are all derived from the expression of the vector potential equation for the field geometry of Figure 1.

Application Limitations
Equation set 1 – found in every electromagnetics textbook and EMC handbook – is based on Figure 1 and provides an inaccurate portrayal of the field very near the dipole. “Very near” means where the distance to the dipole is less than a few multiples of the dipole length itself. This is where, as we shall see, the classical Hertzian equations don’t apply – as Hertz himself pointedly noted.
Hence, the way equation set (1) is most often interpreted within the EMC industry is simply wrong. Engineers (and textbook writers) look at these terms and say that, in close proximity to the antenna, the 1/r3 term will dominate. Then, moving out the 1/r2 terms, and then finally in the far field, all you have left is the 1/r term.1 This implies that field intensities increase without bound as the dipole is approached – which is again simply wrong. This error in interpretation is based on ignoring a key limitation in the Hertzian dipole field equations’ derivation. Furthermore, the Hertzian dipole amplitude relationships between quasi-static, induction, and radiation field expressions are unique to electrically short dipoles. Paul warns that the boundary of near vs. far field is different for electrically-large antennas from that calculated for the infinitesimal dipole.2 In fact, it is more complex than that. They are certainly different. But we also mean something completely different by far field when talking about electrically large antennas. This is described in the companion article “(Re)Discovering the Lost Science of Near Field Measurements.”
The relevant electric and magnetic field vectors are derived from the expression for the magnetic vector potential, which for the geometry of Figure 1 is:

where the integral is evaluated over the length of the dipole oriented along the z-axis.3, 4
In order to derive the Hertzian equation set (1), the following simplifications are made (and dutifully ignored) within the EMC community:
The model is simplified such that the distance from the dipole to the point “P” in Figure 1 at which the field intensity is derived is so large with respect to the dipole length that it is the same from point P to any point along the dipole; and
Similarly, the dipole length is so short relative to wavelength that the current is constant along its length.
Given these two assumptions, the equation (2a) magnetic vector potential expression reduces to the much simpler equation:
A = µ0Il/4πr Eqn. 2b
because both “r” and “I” are constant over the integration, and the integral of dz over the dipole length is just “l.”5
If the vectors drawn from any point along a dipole to a point in space all have the exact same length, this is tantamount to making the dipole length zero – a point source. This is the basis of any far-field radiation pattern. Therefore, the Hertzian equations don’t apply when the distance from the dipole is not a large multiple of the dipole’s length, i.e., when we are in the very near field. A single EMC resource (FRC handbook) mentions that:
“The point that is frequently forgotten is that the validity of the statement made above (referring to the 1/rn components of the Hertzian radiation predictions) depends entirely on the relation between (the distance to the point of observation and the size of the radiator). The statement holds when the (distance to point of observation is much larger than the dimensions of the radiator) …”
It is worth stopping at this point and looking at Hertz’ original derivation, both as to purpose and result.6 The stated reason for the model and derivation is to prove that Maxwell’s equations may be used to demonstrate that electromagnetic radiation arises from changing current on a wire. There is no mention of interest in the near field. When he produces a close cousin of what we today call the magnetic vector potential, with an inverse distance proportionality, he specifically states, “And it must be noticed that the equation referred to is satisfied everywhere, except at the origin of our system of coordinates.”
Figure 2a is excerpted from the same paper and emphasizes the exception near the origin showing an exclusion zone drawn as a circle about the dipole, at which all the electric field lines start, or stop, depending on point-of-view. Explaining this, Hertz says:
“At the origin is shown, in its correct position and approximately to correct scale, the arrangement which was used in our earlier experiments for exciting the oscillations.7 The lines of force are not continued right up to the picture, for our formulae assume that the oscillator is infinitely short, and therefore become inadequate in the neighborhood of the finite oscillator.”
Note that in the Figure 2b Johnk drawing (copied because it was about the best modern representation the author could find), no such exclusion zone is marked, and the inapplicability of the model in close to the dipole is left unremarked.8
Although, if the point source assumption is not made, the math rapidly becomes complex with the vector potential and its derivative electric and magnetic field vectors, it is very easy to compute the exact near field for the quasi-static electric and magnetic fields, for certain specific cases. So doing reveals the exact behavior of these fields at any distance from the dipole, including zero.


The Quasi-Static Electric Field
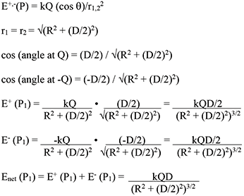
The quasi-static electric field is described by a 1/r3 distance dependence in equation set 1. The 1/r3 dependence is all that one can “see” looking in from a great distance, because of the assumption that the source is a point. But if, instead of working from the outside inwards, we start at the source and work outwards, we get the whole story. This analysis is for simplicity limited to the field as a function of distance along a perpendicular through the dipole’s center, as shown in Figure 3.

Coulomb’s Law describes the field from each of the dipole charges: E = kQ/r2.
The choice of P on the perpendicular bisector of the dipole means that the component of the electric field perpendicular to the dipole is zero, due to equal and opposite components from Q and –Q. Further, the vertical components are identical in magnitude and have the same direction, so that the vertical electric field component at P is twice what it would be from either charge alone.

In the limit where R is large with respect to D, we can perform a factorization to see that, in that limit, the electric field depends on the inverse cube of distance:
![]()
This is what we get for the quasi-static part of the Hertzian dipole electric field based on this same limiting case.
But we can play the same game in reverse where we factor out D and let the field point become very close to the dipole, where R<<D:
![]()
Now when we let R →0, the electric field between the charges is simply:
![]()
which is a finite constant value exactly what the field would be computed down the length of the dipole midway between the two charges. Figure 4 shows the exact behavior, contrasted with the 1/r3 asymptotic behavior, which is only valid at long distances. It does not blow up in close, as per the conventional Hertzian dipole 1/r3 extrapolation. At a distance to dipole length ratio of two, the 1/r3 approximation is 3 dB high. In closer, the error grows without bound – note the vertical scale is delineated in decibels. Many EMC engineers routinely ignore such staggering errors in close or are simply ignorant of the true behavior.

The Quasi-Static Magnetic Field
Per the Biot-Savart law, the magnetic field at point P from a current in the wire of Figure 5 is:
![]()
where the integral is taken down the length of the wire.


Therefore, the integral evaluates as:
![]()
with limits of integration from 0 to D/2 (instead of –D/2 to D/2).
![]()
We may factor R out from under the square root operator in order to investigate the asymptotic behavior as R increases without bound:
![]()
This is the magnetic field dependence found from the Hertzian dipole derivation, with the dipole very short relative to the distance at which the magnetic field is measured.
But when the wire is long (D>>R), then the more useful factorization is:
![]()
which is the expected result (Ampere’s Law) for the magnetic field close to a long wire.
Conclusion
There is nothing novel presented in this short primer, and the mathematics is at the high school and introductory integral calculus level. Yet the conclusion shows results many orders of magnitude different than those presented in electromagnetics and EMC texts, and as understood by generations of practicing EMC engineers.
The Hertzian dipole is a model, constructed for a particular purpose. It served that purpose admirably, and its shortcomings close to the dipole were noted by its author, and then dutifully ignored by generations of scientists. A model is an abstraction of reality, simplified so that analytical techniques may be fruitfully brought to bear (the proverbial spherical chicken in a vacuum). Although scientists claim their models are science, they are not science in the sense of basic principles. Einstein said that “everything should be made as simple as possible, but not simpler.” John von Neumann, commenting on attempts to model fluid flow using the relatively primitive computers in his day, said that “we are in danger of modeling dry water.”
Engineers should likewise beware, and understand that the common wisdom, when confronted by common sense, must yield the floor.
Endnotes
- While the static and quasi-static electric fields depend on charge, not current, the quotient I/ω in the expressions for Er and Eθ substitutes for charge, given the time derivative relationship of the two and the assumed sinusoidal current dependence.
- Much earlier works (Pierce 1920, Skilling 1942) use the word “doublet” instead of antenna. Given the specific meaning attributed to the term, the statement is then correct. A doublet means a charge separation distance that is very small compared to the distance at which the field is measured. In that case, as derived herein, the static field does decrease with the cube of distance. But close in to a doublet means far enough away that the approximation holds. That is several doublet lengths away.
- Some authors (e.g., Adamczyk) state that the Hertzian dipole field quantities are appropriate for electrically large antennas as well as small ones. That this is not so is easily demonstrated qualitatively without any appeal to higher mathematics. Nothing is necessary but ordinary circuit theory and conservation of energy. Consider a signal source with 72 Ω output impedance, connected to a half-wave dipole (72 Ω impedance) through a 72 Ω balanced two-wire transmission line. Now reduce the frequency by a factor of a thousand, so that the dipole is now λ/2000 electrical length. The antenna impedance is now effectively an open circuit. That means that the applied potential is twice what it was in the matched impedance configuration, but also the current is reduced by several orders of magnitude, because the impedance of an electrically short dipole is going to be numbered in the single to low double-digit picofarads, and present an impedance on the order of tens to hundreds of kiloohms. With no current into the dipole, there is no power delivered to it, and if no power is delivered, none can be radiated. Thus, with an identical dipole structure, only changing the driving frequency, we can see that the ratio of the traveling wave electric field to the quasi-static electric field is orders of magnitude higher with a half-wave dipole than with a Hertzian dipole.
- Time dependence is critical here. If time dependence doesn’t exist, we have the static case. If we have time dependence, but no retarded time, we have the quasi-static and induction case. The retarded time term (t-r/c) gives rise to radiation. This was noted in but one EMC text, the half-century-out-of-print FRC Handbook, Volume 1.
- Equation set 1 is derived from an expression for the magnetic vector potential, commonly designated A. In EM texts the magnetic vector potential is typically introduced via vector calculus manipulations, i.e., as an entirely mathematical construct. In fact, the magnetic vector potential has a physical meaning that becomes clear using dimensional analysis. We will explore that meaning via an analogy to the commonly understood concept of electrical potential, or voltage.
The unit of electrical potential, the volt, is the per unit charge energy stored in a set of charges. In the SI measurement system, it has units of joule/coulomb. Since the magnetic vector potential is defined by the equation
B = ∇ x A
the dimensional analysis relationship of magnetic flux density to magnetic vector potential is the same as for electric field to electric potential. That is, electric potential is in volts, and its gradient the electric field has units of volts per meter or newtons per coulomb. Similarly, magnetic vector potential is a weber per meter, and the magnetic flux density is a weber per square meter (or Tesla). And a weber per meter is dimensionally equivalent to a joule per amp-meter. So, the analogy between the unit of electric potential and magnetic vector potential is that they are measures of energy per unit of charge (electric) and per unit current (magnetic), with the necessary addition of the length factor, because current is charge movement in a conductor, and that conductor has both length and direction: hence the vector nature of the magnetic potential. - Equation set 1 is derived from (2b) using vector calculus relations between the magnetic vector potential and the electric and magnetic fields themselves. This derivation is presented in every text on electromagnetics, antennas, and EMC, and will not be repeated here in extent. Adamczyk provides the most detailed, step-by-step derivation in the author’s experience.
- “The Forces of Electric Oscillations, Treated According to Maxwell’s Theory,” published in 1889 is the paper where the Hertzian dipole model and derivation first appear. The point of the exercise was to show that the received signal was indeed radiated, and not coupled via capacitive or inductive means. Hence Hertz needed to show that given the separation between his transmitting and receiving apparatus, the radiation term dominated.
- Here Hertz references the experiment generating electromagnetic radiation intentionally for the first time, for which achievement of the unit of frequency is given his name.
- Similarly, Adamczyk considers the dipole to be at the origin, ignoring its length. Later, he states that the equation set (1) apply at any distance r from the dipole. This modern treatment is in distinct contrast to earlier texts, such as Pierce, where the dipole was carefully and precisely described as an oscillating doublet, as noted in endnote (2).
