S11 One-Port Shunt, Two-Port Shunt, and Two-Port Series Methods
This is the first of two articles devoted to the topic of inductor impedance evaluation from the S parameter measurements (capacitor impedance evaluation from the S parameter measurements was described in [1] and [2]). This article describes the impedance measurements and calculations from the S11 parameter using the one‑port shunt method, two-port shunt, and two‑port series methods. The next article will discuss impedance measurements and calculations using S21 parameters with two‑port shunt and two‑port series methods.
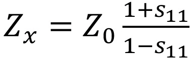
One-Port Shunt Method
One-port shunt configuration is shown in Figure 1.

For this configuration, the inductor’s impedance in terms of the S11 parameter was derived in [1] as
(1)
Two-Port Shunt Method
The two-port shunt configuration is shown in Figure 2.

For this configuration, the inductor’s impedance in terms of the S11 parameter was derived in [1] as
(2)
Two-Port Series Method
The two-port series configuration is shown in Figure 3.

For this configuration, the inductor’s impedance in terms of the S11 parameter was derived in [1] as
(3)
Impedance Measurement Setup and Results
The impedance measurement setup and the PCB boards are shown in Figure 4. The boards were populated with Murata RF inductors, LQG18HH47NJ00, LQC18HH15J00, LQG18HH27J00, of the values 47 nH, 150 nH, and 270 nH, respectively.

Figures 5 and 6 show the impedance curves for a 47 nH inductor based on the S11 parameter measurements. Figure 5 compares the one-port shunt and two-port shunt configurations, while Figure 6 compares the two-port shunt and two-port series configurations.


Figure 7 shows the inductor impedance curve obtained from the Murata Design Support Software “SimSurfing.” [3].

The one-port shunt, two-port shunt, two-port series, and Murata measurements at 50 dB and at self-resonant frequencies are shown in Table 1.

Clearly, the one-port shunt, two-port shunt, and two-port measurements do not agree with the Murata values.
Figures 8 and 9 show the impedance curves for a 150 nH inductor based on the S11 parameter measurements. Figure 8 compares the one-port shunt and two-port shunt configurations, while Figure 9 compares the two-port shunt and two‑port series configurations.


Figure 10 shows the inductor impedance curve obtained from the Murata Design Support Software “SimSurfing.”

The one-port shunt, two-port shunt, two-port series, and Murata measurements at 50 dB and at self‑resonant frequencies are shown in Table 2.

Again, the one-port shunt, two-port shunt, and two port measurements do not agree with the Murata values.
Figures 11 and 12 show the impedance curves for a 270 nH inductor based on the S11 parameter measurements. Figure 11 compares the one-port shunt and two-port shunt configurations, while Figure 12 compares the two-port shunt and two-port series configurations.


Figure 13 shows the inductor impedance curve obtained from the Murata Design Support Software “SimSurfing.”

The one-port shunt, two-port shunt, two-port series, and Murata measurements at 50 dB and at self-resonant frequencies are shown in Table 3.

Once again, the one-port shunt, two-port shunt, and two-port measurements do not agree with the Murata values.
The overall conclusion is that the inductor’s impedance evaluation from the S11 parameter measurements is not accurate. The next article will discuss the inductor’s impedance estimation from the S21 parameters and show its superiority over the S11-based methods.
References
- Bogdan Adamczyk, Patrick Cribbins. and Khalil Chame, “Capacitor Impedance Evaluation from S Parameter Measurements – Part 1: S11 One‑Port Shunt, Two-Port Shunt, and Two-Port Series Methods,” In Compliance Magazine, February 2025.
- Bogdan Adamczyk, Patrick Cribbins, and Khalil Chame, “Capacitor Impedance Evaluation from S Parameter Measurements – Part 2: S21 Two‑Port Shunt and Two-Port Series Methods,” In Compliance Magazine, March 2025.
- Murata Design Support Software “SimSurfing”
