This article presents the derivation of the-far field criterion for two fundamental wire-type antennas: electric (or Hertzian) dipole and magnetic dipole.
1. Electric (Hertzian) Dipole
Hertzian dipole, shown in Figure 1, consists of a short thin wire of length l, carrying a phasor current
0 = I0, positioned symmetrically at the origin of the coordinate system and oriented along the z-axis.

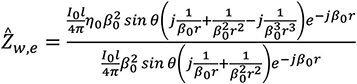
The complete fields of the Hertzian dipole, at a distance r from the origin, can be obtained from the vector magnetic potential A shown in Figure 1, (see [1] for the derivations), and can be expressed as, [2],
(1.1)
(1.2)
(1.3)
where η0 is the intrinsic impedance of free space, and β0 is the phase constant.
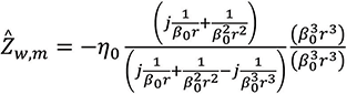
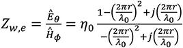
With this electromagnetic wave, we associate wave impedance, defined as
(1.4)
A far-field criterion (distance r from the antenna) for Hertzian dipole (and other wire-type antennas) is derived from the requirement that the magnitude of the wave impedance in far field is equal to the intrinsic impedance of free space.
(1.5)
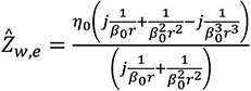
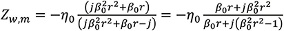
Using Eqns. (1.2) and (1.3) in Eq. (1.4) we get
(1.6)
or
(1.7)
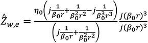
Multiplying the numerator and denominator by j(β0r)3 we obtain
(1.8)
or
(1.9)
Letting,
(1.10)
we obtain
(1.11)
We can evaluate this expression at different distances (in terms of the wavelength) from the antenna, for instance, (r = λ0/2π, r = λ0, r = 3λ0). When evaluated at r = 3λ0, the wave impedance becomes
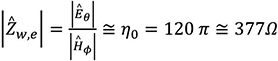
(1.12)
The result in Eq. (12) leads to the far-field criterion for the Hertzian dipole (and other wire‑type antennas):
(1.13)
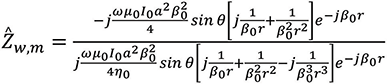
2. Magnetic Dipole
Magnetic dipole, shown in Figure 2, consists of a small thin circular wire loop of radius a, carrying a current
0 = I0, positioned in the xy plane, with the center of the loop at z = 0.

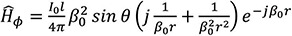
The complete fields of the magnetic dipole, at a distance r can be expressed [2],
(2.1)
(2.2)
(2.3)
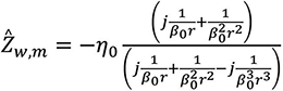
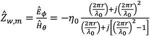
The wave impedance for magnetic dipole is defined as
(2.4)
Using Eqns. (2.1) and (2.3) in Eq. (2.4) we get
(2.5)
or
(2.6)
Multiplying the numerator and denominator by j(β0r)3 we obtain
(2.7)
or
(2.8)
Letting,
(2.9)
we obtain
(2.10)
Evaluating Eq. (2.10) at r = 3λ0 we get
(2.11)
Thus, the magnitude of the wave impedance
(2.12)
We have arrived again at the far-field criterion as
(2.13)
References
- Bogdan Adamczyk, Foundations of Electromagnetic Compatibility with Practical Applications, Wiley, 2017.
- Clayton R. Paul, Introduction to Electromagnetic Compatibility, Wiley, 2006.
