Evaluation and Testing Can Reduce Battery-Related Safety Risks
This article presents an experimental framework to characterize the energy released during thermal runaway events involving Li-ion cells and battery packs used in applications ranging from electric vehicles to consumer electronics and medical devices to aerospace applications. A brief introduction to lithium-ion batteries and battery thermal runaway is provided. The article then describes various methods for obtaining energy release in cells undergoing thermal runaway.
The first method involves testing a cell inside a sealed pressure vessel, which allows for the estimation of the volume of gas produced as a result of thermal runaway and a quantitative assessment of the vent gas composition. This technique is generally used to assess the flammability hazards associated with thermal runaway. The second method described is oxygen consumption calorimetry. This technique provides an estimation of the heat released by a cell undergoing thermal runaway via chemical analysis (i.e., how much oxygen has been consumed and the associated heat release).
The third and fourth methods include two techniques designed to estimate the energy yielded during a battery thermal runaway event: the accelerating rate calorimetry (ARC) and a novel methodology designed to estimate the sensible energy released during a battery thermal runaway failure using a fractional thermal runaway calorimeter (FTRC) apparatus.
The Growing Risk of Li-Ion Battery Failures
Over the last ten years, lithium-ion (Li-ion) batteries have become the energy storage technology of choice for different industries, including automotive, consumer electronics, and aerospace applications. As Li-ion battery chemistries improve, battery energy and power densities have increased. Increasing energy densities, including implementation of lithium-metal-containing cells, result in higher potential risks and/or severity of battery failure events. The increased risk stems from both the presence of higher amounts of energy and thinner, tighter tolerances of internal components.
One catastrophic failure mechanism that can lead to battery fires is a thermal runaway event. In large, multi-cell packs such as those commonly used in electric vehicles or stationary energy storage systems, the heat generated by one failed cell can heat up neighboring cells which may lead to a thermal cascade throughout the battery pack. It is generally expected that there will occasionally be single cell failures within a population of lithium-ion battery packs. This potential for propagation of failures presents an increased risk to property and safety.
Underwriters Laboratories (UL) recently created a new test method (UL 9540A, Test Method for Evaluating Thermal Runaway Fire Propagation in Battery Energy Storage Systems) that specifically seeks to assess the propensity of energy storage systems to exhibit propagating failures. One reason for the concern over the propagation of failures is that thermal runaway events can result in the venting of flammable gases, and these gases can generate a fire or an overpressure event if ignited in a confined area. Multiple failures occurring due to propagation will subsequently release a larger volume of flammable gases.
An accurate evaluation of the energy yielded during a battery thermal runaway failure is of critical importance for the design of any battery-powered product from both safety and performance standpoints. Accurate energy yield estimates are valuable for a large variety of tasks, including but not limited to:
- Comparisons of failure characteristics of batteries from different formats and vendors;
- Evaluation of the ultimate fate of the energy released (i.e., is the heat released contained within the vented gases or in the cell body);
- Design of safer battery packs that minimize the likelihood of cascading failure events involving neighboring cells; and
- Create reliable inputs for mechanical or thermal models of devices or battery packs.
The energy released during a battery thermal runaway failure can roughly be assessed by evaluating the sensible energy and chemical energy components that evolved during the event. The sensible energy components can be evaluated by estimating the amount of energy required to increase the temperature of the cell body, gases, and ejecta to the levels experienced during a thermal runaway failure (prior to any combustion event occurring). The chemical energy component can be assessed by estimating the energy released by the combustion of the vent gases following their release from the cell body during the thermal runaway event. The characterization of the combustion energy requires a characterization of the composition and amounts of vent gases released during the failure event.
The following sections provide an overview of a battery thermal runaway failure as well as a number of techniques that can be used to characterize the energy yielded during a battery failure and its components.
Battery Thermal Runaway
Thermal runaway occurs when the internal temperature of a cell increases in an uncontrolled manner, leading to its failure. In the first phase of thermal runaway, the solid electrode interface (SEI) layer decomposes in an exothermic reaction. This is followed by an exothermic reaction between the intercalated Li ions and the electrolyte. As the positive electrode materials react with the electrolyte, oxygen is evolved inside the cell, the electrolyte decomposes, and the cell disintegrates. During the thermal degradation of the Li-ion cell, the temperature increase generates gases, which are released through pressure relief vents when the pressure inside the cell rises above a design relief pressure or if the cell’s enclosure fails. For Li-ion cells, these gases are hot and combustible, which can become a hazard if a pack was not designed to control the causes and consequences of thermal runaway.
All thermal runaway events are a result of a rise in cell temperature. This temperature rise can be due to multiple causes, including but not limited to:
- External heating from a high ambient temperature, thermal abuse, or external fire;
- A defect inside the cell that results in an internal short circuit, which causes the cell to heat up at the location of the defect;
- A surge in the charging or discharging current. When cells are charged or discharged, heat is generated. The higher the current, the higher the heat generation;
- An improper electrical connection at the tab of a battery. This causes an increased electrical resistance which generates heat at the electrical contacts;
- Mechanical damage to the cell or battery that can also lead to internal shorts and result in heat generation.
During a thermal runaway event, the cell produces gases that build up within the cell. Some cell designs (e.g., cylindrical cells) include one or more designed vents that open to release the gases. In some cases, these vents can become obstructed or may not be able to adequately vent gases, which may result in rupture of the cell enclosure. Other cell form factors, such as pouch cells, often do not include a specific vent and the gases will release at weak points in the external pouch, typically near the tabs of the cell or along the pouch seams in unconstrained cells.
Sealed Vessel Testing
Vent gas composition, flammability characteristics, and potential combustion energy released in the event of ignition can be evaluated by forcing a cell failure in a sealed vessel testing apparatus. The sealed vessel is designed to contain the battery vent gases and to quantify the vent gas volume by tracking the temperature and pressure increase in the vessel. The sealed vessel testing apparatus includes a sampling port through which the vented gases can be collected in a sample canister and analyzed for composition using techniques such as gas chromatography (GC) and gas chromatography-mass spectrometry (GC-MS). Note that depending on the cell capacity, different sealed vessel sizes need to be used depending on the expected vented gas volume. Figure 1 shows a photograph of a 60-liter sealed vessel connected to a 20-liter combustion chamber used for battery vent gas explosion testing.

We previously produced a paper outlining the methodology for this type of testing [3]. The results presented were relative to small format Li-ion pouch cells (7.7 Wh nominal, 2.1 Ah, 3.7 V) even though both the testing and analytical methods presented could be similarly applied to larger format cells. The cells consisted of a negative electrode with graphite active material and a positive electrode with LiCoO2 active material. Note that cell chemistry, cell geometry, ambient atmosphere, as well as the way the thermal runaway process is initiated all influence the quantitative behavior of the failure.
Table 1 summarizes the amount of gas vented during a thermal runaway event for pouch cells at three different states of charge (a more detailed description can be found in [1]). For comparison, the volume reported is referenced to standard pressure and temperature. It should be noted that for large battery packs, the amount of gas that is released can be substantial.
| State of Charge | Vented Gas Volume | Volume per Wh |
| 50% | 0.8 L / 0.2 Gal | 0.10 L/Wh |
| 100% | 2.5 L / 0.7 Gal | 0.33 L/Wh |
| 150% | 6.0 L / 1.6 Gal | 0.78 L/Wh |
Table 1: Venting gas volumes for a 7.7 Wh pouch cell at standard pressure and temperature. As a comparison, the cell has a volume of 0.014 L.T
Table 1 and Table 2 show (1) the vent gas volume as a function of the cell SOC, and (2) the gas composition for different SOCs, respectively. With the exception of carbon dioxide, all the substances reported in Table 2 are flammable. In addition, carbon monoxide and some of the hydrocarbons are not only flammable but can also pose significant health hazards.
| Gas | 50% SOC (%vol) | 100% SOC (%vol) | 150% SOC (%vol) | |
| Carbon Dioxide | 32.3 | 30.0 | 20.9 | |
| Carbon Monoxide | 3.61 | 22.9 | 24.5 | |
| Hydrogen | 31.0 | 27.7 | 29.7 | |
| Hydrocarbons | Methane | 5.78 | 6.39 | 8.21 |
| Ethylene | 5.57 | 2.19 | 10.8 | |
| Ethane | 2.75 | 1.16 | 1.32 | |
| Propylene | 8.16 | 4.52 | 0.013 | |
| Propane | 0.68 | 0.26 | 2.54 | |
| Isobutane | 0.41 | 0.20 | 0.13 | |
| n-Butane | 0.67 | 0.56 | 0.39 | |
| Butenes | 2.55 | 1.58 | 0.60 | |
| Isopentane | 0.45 | 0.07 | 0.036 | |
| n-Pentane | 1.94 | 0.73 | 0.30 | |
| Hexanes + | 4.94 | 2.32 | 8.21 | |
| Benzene | 0.14 | 0.11 | 0.33 | |
| Toluene | 0.061 | 0.018 | 0.052 | |
| Ethyl-benzene | 0.009 | 0.002 | 0.003 | |
Table 2: Vented gas composition for a 7.7 Wh pouch cell [3]
Note that Table 2 summarizes the species volume fraction of the vent gases. The absolute volume of each species depends on the total volume of gas vented, which increases as the SOC increases. Therefore, the total volume of hydrogen released from a 150% SOC cell is significantly higher than from a 50% SOC cell, despite having similar hydrogen volume fractions.
The combustion characteristics of the vented gases are summarized in Table 3 and compared with those of common gases. The combustion properties of the vented gases are similar to typical hydrocarbons despite the large presence of carbon dioxide. Another point to note is that the gases vented from Li-ion cell failures have a broader combustion range than typical hydrocarbons increasing the potential for ignition (likely due to the presence of hydrogen). More information on the testing methodology to evaluate the explosibility characteristics of battery vent gas is available in [1,2].
| Gas | LFL | UFL | Pmax (barg) | Kg (m-bar/s) |
| Li-Ion Vent Gas (100% SOC) | 6% | ~38% | 7.1 | 65 |
| Li-Ion Vent Gas (150% SOC) | 6% | 40% | 7.7 | 90 |
| Methane | 5% | 15% | 6.7 | 46 |
| Propane | 2% | 10% | 7.2 | 76 |
| Ethane | 3% | 12% | 8.0 | 171 |
| Hydrogen | 4% | 75% | 6.5 | 250 |
Table 3: Combustion characteristics of vented gases released during a thermal failure of 7.7 Wh cells, and of common gases [4]
Oxygen Consumption Calorimetry
Oxygen consumption calorimetry has been used for many years used to estimate the heat released during the combustion of fabrics or other typical organic materials. The established technique has found new relevance with respect to battery heat release assessments. In an oxygen consumption calorimeter, a sample usually reaches ignition and burns after being subjected to external heating. The energy released during combustion and the volume of combustion products are determined by collecting and analyzing the oxygen, carbon dioxide, and carbon monoxide contents of the exhaust gases.
The standard method by which the cone calorimeter results are processed is sometimes modified to account for the complex composition of a Li-ion cell. A detailed description of the challenges associated with performing calorimetry of Li-ion cells is discussed in [5]. Often, the combustion event does not only involve the combustion of the vented gases, but solid components of the cell itself also burn and release energy.
To quantify the amount of energy that can be released by a cell involved in a fire, small format Li-ion pouch cells (7.7 Wh nominal, 2.1 Ah, 3.7 V) were tested in a cone calorimeter. Evolutions of gases released, oxygen consumed, and mass loss from the combustion reaction of the Li-ion cell charged at 50% SOC are presented in Figure 2. Figure 2a. shows an initial increase in production rates of CO2 and CO concurrent with an initial mass loss of cell material (Figure 2c.) for about 15 seconds, starting at approximately 50 seconds. This phase corresponds to the ignition of the vented gases. The release of combustion gases is combined with an initial increase in oxygen consumption as shown in Figure 2b. During this period, the bulk material within the Li-ion cell is not involved in the combustion reaction. Electrolyte vapors are most likely the major contributor to the combustion during this 1st phase.
After the 1st phase, a transition to faster reaction kinetics is observed at approximately 65 seconds. Increases in the CO2 and CO production rates combined with a rise in oxygen consumption areshown on Figure 2a., 2b., and 2c. This large increase is confirmed by changes in the slope of the production, consumption, and mass loss rate curves. At this stage, the bulk material within the cell is involved in the combustion process. This 2nd phase lasts for approximately 35 seconds before extinction occurs. The peaks of CO2 and CO are respectively 1.3 and 0.02 g/s. The total mass loss at the end of the test is about 8.4 g. This mass loss compares to the total mass of organic compounds present in the Li-ion cell and is evaluated to be approximately 9.0 g.

Although the cone calorimeter can be used to determine several parameters (e.g., critical heat flux for ignition, ignition time, etc.), one of the most important parameters measured is the heat release rate (HRR). The HRR is the amount of energy produced by the combustion process per unit of time (expressed typically in kW). It is the single most important parameter for determining the fire hazards associated with a given material or product and for designing fire protection systems. Figure 3 shows the evolution of the heat release rate as a function of time for a 7.7 Wh Li-ion cell at 0%, 50%, and 100% SOC. At the peak of the combustion event, the fire releases approximately 22 kW, 13 kW, and 2 kW of power for cell SOCs equal to 100%, 50%, and 0%, respectively. Once again, the heat release rate is very dependent on the state of charge of the cell.

Accelerating Rate Calorimetry (ARC)
An accelerating rate calorimeter (ARC) is an instrument designed to characterize the self-heating behavior of materials and reaction kinetics that in recent years, has become highly utilized to understand the thermal runaway processes of batteries.
In ARC testing of batteries, the protocol typically follows a heat-wait-search (HWS) algorithm that minimizes heat losses from the sample to the surroundings. More specifically, the ARC system and sample are first heated to a set temperature point and are independently monitored for temperature. Both are then allowed to wait to equilibrate temperatures for a set amount of time, before actively searching for temperature rise from the sample. If no sample self-heating is detected, the system moves to the next temperature step, typically 5 °C or 10 °C, and begins the H-W-S process again.
Once the system detects self-heating of the sample during a search step, the system increases its temperature to match the sample temperature, thus creating an adiabatic environment. This temperature tracking continues until the cell thermally fails or a designated temperature set point is reached. Evaluating the self-heating as a function of temperature, cell voltage, and sometimes the evolved gas/pressure for ARC tests in a sealed vessel allows for analysis of various chemical reactions and events that occur during thermal failure of a cell. These include solid electrolyte interface (SEI) decomposition, electrolyte venting from cell enclosures, separator failure and/or shut-down, positive electrode oxidation, and more (see Figure 4).

ARC can be used to study the variety of variables that affect the thermal decomposition and runaway characteristics, including cell size/shape/capacity, cell format, SOC (see Figure 5), chemistry and morphology of the electrodes, electrolyte composition, state-of-health (or life), presence of plated lithium metal, etc. If ARC testing is performed with the battery sample in a sealed vessel (e.g., inside of the larger ARC chamber), the overall energy release from the thermal runaway event can be estimated using the heat capacity of the sample in conjunction with the temperature rise experienced on the sample, the temperature rise of the ARC vessel, and the known heat input into the system via recorded heater power.

Fractional Thermal Runaway Calorimeter
A fractional thermal runaway calorimeter (FTRC) is a battery testing apparatus specifically designed by the National Aeronautics and Space Administration (NASA) to measure the energy output and mass ejections associated with a battery thermal runaway event [6]. The FTRC is equipped with interchangeable cell chambers that can accommodate cells with various form factors and capacity (i.e., 18650 cells, 21700 cells, D cells) as well as different cell triggering mechanisms ranging from external heating to nail penetration and internal short circuit devices. The cell chamber is centrally located and is interfaced on either side with (1) ejecta mating assemblies, (2) ejecta bore assemblies, and (3) rod-and-baffle assemblies.
An FTRC apparatus equipped with a standard 18650 cell chamber is fundamentally a symmetric device that can evaluate energy released associated with cell failures encompassing top venting, bottom venting, or both. The operation of the FTRC rests on simple physical principles. The various assemblies of the FTRC are all composed of known materials with known masses. The temperatures of these components are recorded throughout a test run. Since the material composition of the assemblies is well known, it is known how much energy must be added to the assemblies to cause a given rise in temperature. Thus, by measuring the component temperatures, it is simple to compute how much energy was transferred to those components (i.e, how much energy the cell released).
The cell chamber is connected to the ejecta mating assemblies via ceramic bushings that provide a certain degree of thermal isolation between the sub-assemblies while guaranteeing the continuity of the flow path for the vent gases ejected during the battery failure event. The ejecta mating assemblies are designed to capture large debris and ejecta released during cell failure. The ejecta bore assemblies and rod-and-baffles assemblies are located downstream of the ejecta mating and are designed to extract sensible energy from the vent gases by creating a tortuous flow path encompassing (1) a series of aluminum baffles and (2) copper mesh windings. Figure 6 shows a photograph of an FTRC equipped with a 18650 cell chamber. Note the two copper mesh windings prior to installation in the FTRC.

The energy evolved during the battery failure can be evaluated in terms of total energy yield, fractional energy yields associated with the battery body, and positive/negative vent gas and ejecta. The cell energy yield is obtained by solving an energy balance equation for all the sub-components of the calorimeter based on the mass, specific heat, and temperature increase experienced by each sub-assembly. More specifically, the sub-assembly temperature increase is measured by over 100 type-K thermocouples attached to the hardware of the calorimeter in multiple locations.
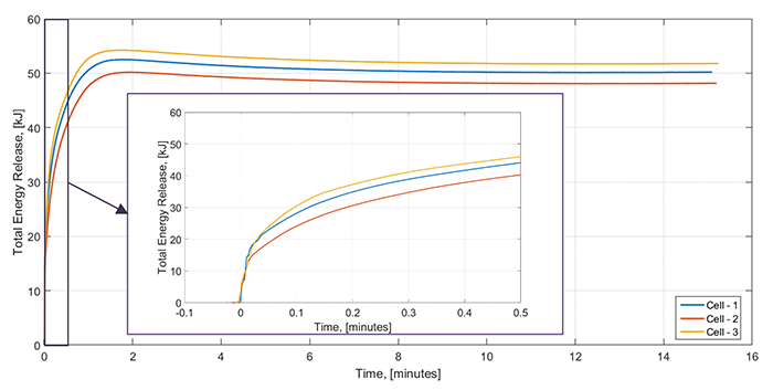
Examples of energy yield estimations associated with battery thermal runaway events is presented in Figures 7, 8, and 9. We performed triplicate FTRC tests on 18650 cells with a capacity of 2.6 Ah and a state-of-charge of 100%. Figure 7 shows a bar plot depicting the total energy yield that evolved during a thermal runaway event of the three subject cells. The testing results show a total energy yield ranging between approximately 48 kJ and 52 kJ. The yield fractions associated with the cell body range between 26kJ and 31kJ and those associated with the positive vent gas and eject range between 19 kJ and 26 kJ. Figure 8 shows the time-dependent evolution of energy yielded by the cell failure as measured by the calorimeter apparatus. Figure 9 shows the fractional mass distribution measured during the tests.



The results show that the vast majority of the mass remains within the cell body following the thermal runaway event. Smaller mass fractions were associated with the ejecta that were accumulated along the positive side of the calorimeter (i.e., in the positive ejecta mating, copper mesh, rod-and-baffles, and bore). Virtually no mass (or energy) was released towards the negative portion of the calorimeter that interfaces with the bottom of the cell.
Figure 9 also shows the amount of unrecovered mass during the experiment. Unrecovered mass is associated with the amounts of vent gases and small ejecta that can leave the apparatus during the test. It should be noted that the energy fraction associated with the unrecovered mass is generally small. This is due to the fact that the temperature of vent gases and ejecta leaving the calorimeter is relatively close to ambient since the calorimeter is designed to extract all their sensible energy along the tortuous path leading from the cell chamber (where vent gases and eject are generated) through the rod-and-baffles assemblies and the copper mesh.
Conclusion
This article presents a chemistry-agnostic, experimental framework to characterize the energy released during a thermal runaway event of a lithium-ion cell. The characterization of the energy yielded during a failure is a critical parameter that can inform the design of battery-powered products from safety and performance standpoints. The framework relies on multiple experimental methodologies such as (1) sealed vessel testing, (2) oxygen consumption calorimetry testing, (3) ARC, and (4) FTRC testing. Combined, these techniques offer quite a complete picture of the energy and materials released during the thermal runaway of a lithium-ion battery.
References
- Somandepalli, V, Marr, K, and Horn, Q, “Quantification of Combustion Hazards of Thermal Runaway Failures in Li-ion Batteries,” SAE International Journal of Alternative Powertrains, 3(1):2014.
- Colella F., Ponchaut N.F., Biteau H., Marr, K., Somandepalli V., Horn Q.C., Long, R.T., “Characterization of Electric Vehicle Fires,” Proceedings of the 16th International Symposium on Aerodynamics, Ventilation & Fire in Tunnels, 15-17 September 2015, Seattle, WA.
- Colella, F., Marr, K., Ponchaut, N., Somandepalli, V., Spray, R., “Analysis of Combustion Hazards due to Catastrophic Failures in Li-ion Battery Packs,” 7th International Seminar on Fire and Explosion Hazards, 5–10 May 2013, Providence, RI.
- The SFPE Handbook of Fire Protection Engineering, 4th Edition, Society of Fire Protection Engineers, 2008.
- Somandepalli, V., Biteau, H., “Cone Calorimetry as a Tool for Thermal Hazard Assessment of Li-Ion Cells,” SAE International Journal of Alternative Powertrains, 3(2):2014.
- Walker W., et. al. “The Effect of Cell Geometry and Trigger Method on the Risk Associated with Thermal Runaway of Lithium-ion Batteries,” Journal of Power Sources, 524, 2022.
