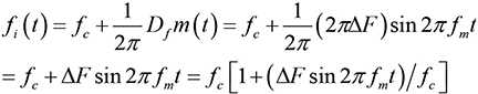
This article examines the spread-spectrum frequency dithering technique to reduce the EMI noise from a SMPS. In spread-spectrum frequency dithering technique, the switching frequency is swept within a limited range about a nominal value. This technique can be explained using classical frequency modulation theory. Let’s review some basics of FM modulation, first in time domain, and then in frequency domain.
FM Modulation Tutorial
Frequency Modulation – Time Domain Signals
Consider an unmodulated carrier wave
(1)
Note that the phase, φ, in (1) is constant. The (angular) frequency of this wave is defined as the
(2)
Note that this frequency is constant. Now consider a sinusoid of the form
(3)
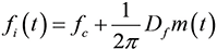
Note that now the phase, θ(t), is a function of time. The resulting waveform is called angle modulated signal. When the phase is directly proportional to the modulating signal, m(t):
(4)
the resulting signal is called phase modulated (PM) signal. When the phase, θ(t), is proportional to the integral of the modulating signal
(5)
the resulting signal is called frequency modulated (FM) signal.
Let s(t) be expressed by Eq. (3), where
(6)
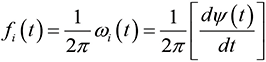
The instantaneous frequency (in hertz) of s(t) is defined as
(7)
or
(8)
Using Eq. (5), for the case of FM modulation, we obtain the instantaneous frequency as
(9)
or
(10)
This is the reason for calling this type of signaling frequency modulation – the instantaneous frequency varies about the assigned carrier frequency fc in a manner that is directly proportional to the modulating signal m(t).
Modulation waveforms can be sinusoidal, triangular, exponential, symmetrical, asymmetrical, linear, nonlinear, etc. Figure 1 shows FM modulated signal with a sinusoidal modulation.

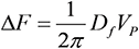
The difference between the instantaneous frequency and the carrier frequency is termed frequency deviation, fd(t), and is equal to
(11)
The peak frequency deviation is
(12)
For FM signaling, the peak frequency deviation is related to the peak modulating voltage by
(13)
as illustrated in Figure 2.

The frequency modulation index is given by
(14)
where ∆F is the peak frequency deviation and BW is the bandwidth of the modulating signal. For the case of sinusoidal modulation the BW is simply the frequency of the sinusoid, fm, and the frequency modulation index becomes
(15)
Frequency Modulation –Frequency Domain Spectra
SMPS emission is periodical with respect to the switching frequency. The emission centers at the switching frequency and its harmonics. By modulating the switching frequency, side bands are created,
and the emission spectrum is broadened. The power is distributed into smaller pieces scattered around many side-band frequencies. The resulting emission spectrum envelope is decreased in amplitude.
Consider the instantaneous frequency given by Eq. (10), and repeated in Eq. (16).
(16)
Let the modulating signal be given by
(17)
And the proportionality constant, Df, be related to the peak frequency deviation, ∆F, as
(18)
Using Eqs. (17) and (18), the instantaneous frequency in Eq. (16) can be expressed as
(19)
Figure 3 shows the effect of frequency modulation on the frequency spectrum, where fc is the carrier frequency, fm is the modulating frequency, and ∆F is the peak frequency change.
As shown in Figure 3, FM modulation creates the side-band harmonics and the magnitude of the spectral component at f=fc is reduced compared to the unmodulated signal.

The extent of the spectral distribution of the modulated signal and the magnitude of the resultant spectrum depends on the modulation index
(20)
Figure 4 shows the frequency spectra for several βf values.

Figure 4: Modulation index impact
The larger the modulation index, the more distributed the spectrum becomes (this is a very desirable effect from the EMI emission standpoint). Equation (20) reveals that the modulation index can be increased by simply decreasing the modulating frequency, fm. We will investigate this in the measurement section.
In the SMPS applications and EMI testing there are practical limits on the minimum modulating frequency, fm. This frequency must be greater than the resolution bandwidth (also called the intermediate filter, or IF filter bandwidth) of the measuring equipment, or no improvement will be observed. In addition, the spectral components below 20 kHz can manifest themselves as audible noise. We will investigate the impact of the resolution bandwidth (RBW) on the spectrum in the measurement section.
Measurements and Validation
Modulation Signals
In the previous section we analyzed a sinusoidal signal used for FM modulation. The main reason for choosing a sinusoid was the simplicity of the mathematical expressions and explanation. Many other signals can be used for FM modulation. SMPS design usually use the waveforms shown in Figure 5.

Figure 5: Typical SMPS modulation waveforms
Each of these waveforms has a different effect on the frequency spectrum spreading, as shown in Figure 6, (the modulation frequency of all waveforms is 10 kHz).

Figure 6: Modulation waveform effect on the frequency spectrum
Often, a triangular wave is chosen since it is a good compromise between the ease of implementation and the impact on the emissions. Three different spreading approaches can be used with the triangular modulation waveform; these are shown in Figure 7.

Figure 7: Different types of triangular modulation
Resolution Bandwidth and Dithering
Frequency resolution is the ability of the measuring equipment (spectrum analyzer or EMI receiver) to separate two input sinusoids into two distinct frequency responses. Theoretically a single frequency sinusoid would have a single line response in the frequency domain. Practically, this is not the case, as the measuring equipment operates in a heterodyne mode. Figure 8 shows a simplified block diagram of a spectrum analyzer operating in such mode.

Figure 8: Simplified block diagram of a spectrum analyzer
The input signal first passes through an attenuator and a low-pass filter, and it mixes with the signal from a swept local oscillator. In addition to the two original signals (input sinusoid and a signal from the oscillator), the mixer produces their harmonics, as well as the sums and differences of the original frequencies and their harmonics.
The mixed signal passes through an intermediate-frequency (IF) filter, output of which is amplified, rectified by the envelope detector, and displayed. IF filter sets the resolution bandwidth (RBW) of the analyzer (or receiver).
Resolution bandwidth impacts the signal displayed by the measuring equipment. This is shown in Figure 9 (with the dithering disabled).

Figure 9: Resolution bandwidth impact – spread spectrum disabled
As shown in Figure 9, reducing the resolution bandwidth lowers the noise floor and has the effect of converting a broadband signal into a narrowband signal. Figure 10 shows the impact of the RBW while the modulation frequency is kept constant.

Figure 10: Resolution bandwidth impact – spread spectrum enabled
The smaller the resolution bandwidth the more pronounced the effect of the spectrum spreading. In order for the dithering to impact the signals displayed, the minimum dithering frequency, fm, must be greater than the RBW.
The lower the frequency the more pronounced spreading of the spectrum (to avoid the potential audible noise, this frequency is usually higher than 20 kHz).
Figure 11 shows the impact of the modulating frequency on the spectral content when fm > RBW while the RBW is kept constant.

Figure 11: Modulation frequency impact – RBW constant
It is apparent that lowering the modulation frequency (while keeping it above the RBW) has the effect of lowering the level of the spread-spectrum (dithered) signal.
References
- Couch, L. W., Digital and Analog Communication Systems, 7th Ed., Pearson Prentice Hall, 2007
- Rice, J., Gehrke, D., Segal, M., Understanding Noise-Spreading Techniques and Their Effect in Switch-Mode Power Applications, Unitrode Power-Supply Design Seminar SEM1800, 2008/2009, Available online at http://www.smps.us/Unitrode.htm
- Spence, W., Teutsch, R., Switch-Mode Power Supply Design for EMC, Lunch& Learn, Gentex Corp., 2012
