This column describes the operation of an ideal difference amplifier. First, the input-output relationship for the generic input voltages is derived. Subsequently, the differential mode and common mode voltages are introduced. Then, the difference amplifier driven by the common mode and differential mode input voltages is analyzed. It is shown that an ideal difference amplifier (with no resistance mismatches) eliminates the common mode portion of the input voltage and amplifies only the differential mode portion of the input voltage.
Difference Amplifier – Generic Input Voltages
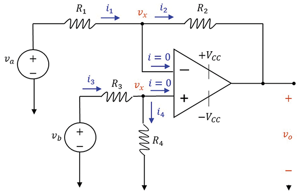
Figure 1 shows a classical difference amplifier circuit with generic input voltages va and vb, [1].

Let’s derive the relationship between the two input voltages and the output voltage. Assuming the ideal operational amplifier model, we have
(1.1a)
(1.1b)
or
(1.2a)
(1.2b)
From Eq. (1.2a) we obtain
(1.3a)
while from Eq. (1.2b) we get
(1.3b)
Substituting Eq. (1.3b) into Eq. (1.3a) we get
(1.4)
or
(1.5)
leading to
(1.6)
which is equivalent to
(1.7)
when
(1.8)
the relationship in Eq. (1.7) becomes
(1.9)
which describes the input-output relationship of the difference amplifier.
Differential and Common Mode Signaling
Consider a circuit shown in Figure 2, with the load between nodes A and B and the two sources sharing node C [2].

Writing KVL for the circuit shown produces
(2.1)
or
(2.2)
To make the load voltage, vL, equal to the source voltage, vs, while retaining both sources, we could simply half the voltage source values as shown in Figure 3.

Figure 3 also shows the forward current, ID, flowing from the sources to the load and return currents of the same value and opposite direction flowing from the load back to the sources. We refer to this differential mode current to the sources as the differential mode sources.
Circuit 2, shown in Figure 3, is equivalent to the one in Figure 4, where the polarity and value of the lower source have been reversed, and the names of the sources have been changed from vs to vdm to emphasize that these are differential mode sources.

Let’s add an additional source, vcm, to the circuit between the reference node and node C, as shown in Figure 5.

This common-mode source injects the common-mode current, IC, into the forward and return path, as shown in Figure 5.
The voltage at node A with respect to the reference node is
(2.3)
while the voltage at node B with respect to the reference node is
(2.4)
3. Difference Amplifier – Differential and Common Mode Input Voltages
Let’s return to the difference amplifier circuit shown in Figure 1 and replace the generic input voltages va and vb with the ones given in Eqs. (2.3) and (2.4). This is shown in Figure 6.

Let’s substitute Eqs. (2.3) and (2.4) into Eq. (1.4) repeated here as Eq. (3.1)
(3.1)
Thus
(3.2)
or
(3.3)
leading to
(3.4)
or
(3.5)
where Acm is the common mode gain and Adm is the differential mode gain.
Equations (3.4) and (3.5) express the output of the difference amplifier in terms of the common mode and differential mode input voltages.
when
(3.6)
we have
(3.7)
Thus, an ideal difference amplifier (with no resistance mismatches) eliminates the common mode portion of the input voltage and amplifies only the differential mode portion of the input voltage.
References
- James W. Nilsson and Susan A. Riedel, Electric Circuits, Pearson, 2015.
- Bogdan Adamczyk, Foundations of Electromagnetic Compatibility with Practical Applications, Wiley, 2017.
