This is the second of a three-article series devoted to the correlation between the insertion loss and input impedance of passive EMC filters. In the first article, [1], LC and CL filters were discussed. This article focuses on π and T filters. Analysis, simulation, and measurement results show that the frequencies at which the insertion losses of these filters are equal are the same frequencies at which the input impedances are equal. These frequencies define the regions where one filter configuration outperforms the other (with respect to the insertion loss). To determine these regions analytically, we compare the input impedances of the two filters. The next article will focus on cascaded LC and CL configurations.
Input Impedance to the π Filter
The input impedance,
IN , to the π filter is calculated from the circuit shown in Figure 1.

The equivalent impedance of the parallel RC configuration is
(1)
This impedance is in series with the impedance of the inductor
(2)
which, in turn, is parallel with the impedance of the capacitor. Thus, the input impedance to the filter is
(3)
or [2],
(4)
or, in terms of the frequency
(5)
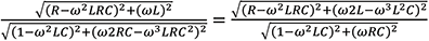
The magnitude of the input impedance is
(6)
Input Impedance to the T Filter
The input impedance,
IN , to the T filter is calculated from the circuit shown in Figure 2.

The equivalent impedance of resistor/inductor in parallel with the capacitor is
(7)
Thus, the input impedance to the filter is
(8)
or, [2],
(9)
or, in terms of the frequency
(10)
The magnitude of the input impedance is
(11)
π Filter vs. T Filter – Input Impedance – Simulations and Calculations
Let’s look at the input impedances of the two filters. The simulation circuit for this comparison is shown in Figure 3.

The input impedances of the two filter configurations are shown in Figure 4.

Note that the two input impedances are equal at two frequencies: 733.81 kHz and 1.276 MHz.
Next, let’s calculate the frequency at which the input impedances of the two filters are equal. Equating the expressions in equations (6) and (11) produces
(12)
This equation can be solved for ω, [2], resulting in
(13a)
(13b)
The corresponding frequencies in Hertz are
(14a)
(14b)
which are consistent with the values obtained from the simulation in Figure 4.
π Filter vs. T Filter – Insertion Loss – Simulations and Measurements
Figure 5 shows the simulation circuit used for the comparison of insertion losses, [3].

The simulation results are shown in Figure 6.

At 734 kHz and 1.27 MHz, the insertion losses of the two filters are equal. These are the same frequencies at which the input impedances of the two filters were equal!
Note that up to the frequency of 734 kHz, the insertion loss of an π filter is larger than that of the T filter. Between the frequencies of 734 kHz and 1.27 MHz, the insertion loss of the T filter is larger. Beyond the frequency of 1.27 MHz, the insertion loss of the π filter is again larger.
Again, [1], we have arrived at a very important observation: once the filter components values L and C are chosen, we can determine the frequencies at which the insertion losses of π and T filters are equal. These are the frequencies at which the input impedances are equal, given by Equations 14a and 14b.
To verify the simulation results of the insertion loss, the measurement setup shown in Figure 7 was used.

The measurement results are shown in Figure 8.

Note that the measurement results agree with the calculated and simulated results.
References
- Bogdan Adamczyk and Jake Timmerman, “Correlation between Insertion Loss and Input Impedance of EMC Filters – Part 1: LC and CL Filters,” In Compliance Magazine, October 2023.
- Bogdan Adamczyk, Principles of Electromagnetic Compatibility: Laboratory Exercises with Lectures, Wiley, 2024.
- Bogdan Adamczyk and Brian Gilbert, “EMC Filters Comparison Part II: π and T Filters,” In Compliance Magazine, January 2020.
