Introduction
Many years ago, the author experimented on a metal enclosure of one of his company’s main products. The experiment involved placing an electric field probe inside the empty metal enclosure (no electronics inside) and applying 10 V/m using the IEC 61000-4-3 radiated RF immunity test system. The E-field levels measured by the probe were recorded over the frequency range of 80 to 1000 MHz. The probe was placed in several locations within the box. The results were surprising, to say the least. One would expect the 10V/m signal to be highly attenuated by shielding effectiveness of the metal box of 40 dB or so; however, over certain frequencies, the signal was amplified! I recall seeing levels as high as 60 V/m or more inside this empty metal box. The most likely culprit of this unexpected result was probably due to cavity resonance.
Cavity Resonance
The metal box tested formed a resonant cavity, where standing waves in the field were formed between opposite sides when the dimension between the sides of the box was a multiple of half-wavelengths. The electric field was enhanced in the middle of the cavity, as the experiment showed when the probe was placed in the middle of the box. Although the cavity resonance and higher than normal E-fields levels present inside the box, as witnessed by performing this experiment, would most likely change once the box was filled with circuit boards, wires, filters and other components, this cavity resonance effect can still have implications when performing real susceptibility and emissions tests on fully operational products.
Resonances degrade shielding effectiveness; therefore, the peaks in the profile could mean the internal electronics placed in the metal box are subjected to higher immunity severity levels at certain frequencies than the standard requires. Also, the emissions emanating from the electronics inside the box could be enhanced, resulting in emissions above the Class A or B limits. The resonant effect could also cause slots or seams in the enclosure to receive or emit RF noise more than possible had the resonance not existed in the first place. Tracking down these types of issues can be difficult.
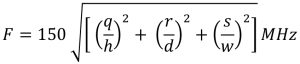
Determining the Frequency of Resonance
There is a well-known formula for determining the frequency of resonance in MHz of an empty metal box. This formula is:

Where “h”, “d” and “w” are the metal box dimensions in meters (h = height, d = depth, w = width) and “q”, “r”, and “s” are positive integers (0, 1, 2, 3…), but no more than one at a time can be zero.
Note: A slightly modified version of the above formula can be used to determine the cavity resonances of a printed circuit board shielding can except where the shielding-can’s dimensions (“h”, “d” and “w”) are in millimeters, and the calculated frequency is in GHz.
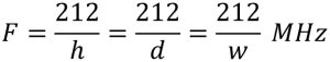
If the three dimensions of the empty metal box are equal, then the frequency of resonance in MHz can be determined using this simplified formula:
How is Knowing the Resonant Frequency Helpful?
Knowing the resonant frequency of the empty metal box is helpful in situations where you might have an emission or immunity problem at that specific frequency (frequency of concern). Recall that cavity resonance can only exist if the largest dimension is greater or equal to one-half the wavelength and that below the cutoff frequency, cavity resonance cannot exist. If “h” is less than “d” which in turn is less than “w” then the transverse electromagnetic (TE) mode with zero waves in the “h” direction and one mode each in the “d” and “w” directions is dominant. This “TE011” mode occurs at the lowest frequency at which cavity resonance can occur.
In this situation, you may be able to add an internal shield or other metal structure inside the shielding-box or shielding-can, which shifts the resonant frequency of the box or can away from the problem frequency, thereby allowing the product to pass the compliance test. If this attempted solution does not work, the resonance frequency was not shifted far enough away from the problem frequency, or the resonance effect may not be the root cause of the problem, and further troubleshooting is required.
Summary
Given the above short background, it is evident that it is best to use shielding boxes or shielding-cans with dimensions (length and width) much smaller than a half-wavelength at the highest frequency of concern. This will help prevent cavity resonances from occurring in the first place. Knowing the frequency of concern in your product and using some simple formulas, you can quickly determine if cavity resonance is occurring.
