Part 1: S11 One-Port Shunt, Two-Port Shunt, and Two-Port Series Methods
This is the first of two articles devoted to the topic of capacitor impedance evaluation from the s parameter measurements using a network analyzer. Part 1 describes the impedance measurements and calculations from the s11 parameter using the one-port shunt method, two-port shunt, and two-port series methods. Part 2 will discuss impedance measurements and calculations using the s21 parameter with two-port shunt and two-port series methods.
Configurations, Circuit Models, S11 – Impedance Relationships
One-Port Shunt Method
Note: The one-port shunt method is also called a (one-port) reflection method [1]. One-port configuration for a two-terminal DUT is shown in Figure 1.

Figure 2 shows the transmission line circuit model at Port 1.

The network analyzer sends the incident waves (at different frequencies) to Port 1, terminated with Zx (interconnects are taken out of the measurements through the calibration process).
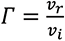
Upon the arrival at load Zx, the incident waves get reflected (unless the load impedance Zx equals Z0. The reflected voltage waves, vr, are related to incident voltage waves, vi, by the load reflection coefficient, Γ, defined as
(1)
This load reflection coefficient equals the s11 parameter and can be computed from [2],
(2)
Eq. (1) is used to obtain the DUT impedance in terms of s11 parameter, as follows
(3)
(4)
(5)
(6)
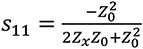
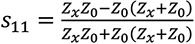
Resulting in the DUT impedance in terms of the s11 parameter as [1],
(7)
Two-Port Shunt Method
The two-port shunt configuration for a two-terminal DUT is shown in Figure 3.

The simplified circuit model of this shunt configuration is shown in Figure 4.

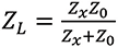
Note that the DUT impedance Zx is in parallel with the Port 2 impedance Z0, resulting in an equivalent load impedance of
(8)
The s11 parameter equals the load reflection coefficient and can be computed from
(9)
Utilizing Eq. (8) in Eq. (9) we get
(10)
or
(11)
(12)
which simplifies to
(13)
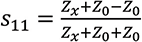
Eq. (13) is now solved for Zx in terms of s11.
(14)
or
(14)
(15)
(16)
resulting in
(17)
Two-Port Series Method
The two-port series configuration for a two-terminal DUT is shown in Figure 5.

The simplified circuit model of this series configuration is shown in Figure 6.

Note that the DUT impedance Zx is in series with the Port 2 impedance Z0, resulting in an equivalent load impedance of
(18)
The s11 parameter equals the load reflection coefficient and can be computed from
(19)
Utilizing Eq. (18) in Eq. (19) we get
(20)
or
(21)
Eq. (21) is now solved for Zx in terms of s11.
(22)
or
(23)
(24)
(25)
resulting in
(26)
Impedance Measurement Setup and Results
The impedance measurement setup and the PCB boards are shown in Figure 7. The boards were populated with Murata X7R ceramic capacitors, GCM188R71H472KA37, GCM188R71H473KA55, GCM188R71C474KA55, of the values 4.7 nF, 47 nF, and 470 nF, respectively.

Impedance curves for a 47 nF capacitor are shown in Figures 8 and 9. Figure 8 compares the results between the one-port shunt and two-port shunt configurations, while Figure 9 compares the two-port series and two-port shunt configurations.


Clearly, the two-port series measurement is not reliable. Figure 10 shows the capacitor impedance curve obtained from the Murata Design Support Software “SimSurfing” [3].

The one-port shunt, two-port shunt, and Murata measurements at 0 dB and at self-resonant frequencies are shown in Table 1.
| One-port shunt | Two-port shunt | Murata | |
| 1st 0 dB frequency | 3.29 MHz | 3.19 MHz | 4 MHz |
| Resonant frequency | 11.92 MHz | 12.81 MHz | 33 MHz |
| 2nd 0 dB frequency | 43.25 MHz | 50.48 MHz | 489 MHz |
Table 1: Impedances at 0 dB and self-resonant frequencies
Clearly, the one-port shunt and two-port shunt measurements do not agree with the Murata values. The measurement results for the other two capacitors (4.7 nF, 470 nF), not presented here, showed similar trends.
The overall conclusion is that the capacitor impedance evaluation from s11 parameter measurements is not accurate. The next article will discuss the capacitor impedance estimation from s21 parameters and show its superiority over the s11-based methods.
References
- Microwaves & RF Application Note, Make Accurate Impedance Measurements Using a VNA.
- Keysight Application Note, Impedance Measurements of EMC Components with DC Bias Current.
- Murata Design Support Software “SimSurfing.”
