Part I: Fundamental Background
The importance of Bode plots in EMC cannot be overstated. This Part I of the tutorial discusses the basics of Bode plots construction, Part II (to appear in the next month issues of In Compliance Magazine) will illustrate Bode plots use in several EMC applications.
First-Order Bode Plots
Bode plots in most fundamental EMC applications utilize a transfer function with the first or second order terms. The first order terms transfer function is of the form similar to
(1a)
where K, z1 and p1 are positive real numbers. Often we refer to the value s = ‒z1 and s = ‒p1, as a zero, and a pole, respectively. Note that the transfer function in (1a) has a pole at zero. In some applications the transfer function might have a zero at the origin:
(1b)
We will learn how to construct Bode plots of the magnitude of the transfer function given by (1a) or (1b) or some subset/combination of both. Subsequently, we will address the transfer functions with the second-order terms.
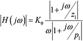
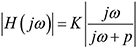
We begin with the transfer function given by (1a). In sinusoidal steady-state, the corresponding frequency transfer function is obtained as [1]
(2)
The magnitude of this frequency transfer function is
(3a)
while the magnitude of the transfer function in (1b) is
(3b)
Bode plots are separate graphs of the magnitude and phase of the frequency transfer function vs. frequency. The magnitude is expressed in dB and the frequency is usually specified on a logarithmic scale (powers of 10). We will focus only on the magnitude plots, as is the case in most EMC problems. We begin by analyzing the expression in (3a) and then we simply augment the approach to include a zero at the origin shown in (3b).
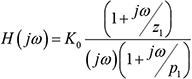
The first step in making Bode diagrams is putting (2) in a standard form [2]
(4)
Now, let
(5)
Then (4) becomes
(6a)
The magnitude of the transfer function in (6a) is
(6b)
The magnitude of H(jω) in (6b) expressed in dB is
(7a)
or
(7b)
The key to plotting the magnitude of the transfer function in dB vs. frequency is to plot each term in the equation (7b) separately and then combine the separate plots graphically. The individual factors are easy to plot since they are either straight lines or can be approximated by straight lines. Let’s discuss each factor separately.
Constant
The plot of 20 log10 K0 is a horizontal straight line because K0 is not a function of ω. The value of this term is:
(8)
and its plot is shown in Figure 1.

Note: in EMC measurements we usually do not sweep the frequency starting at dc or sub 1 Hz value. However, in order to explain the construction of straight-line approximations to the exact plots we need to consider the whole range of frequencies. We usually use a starting frequency of 1 rad/s.
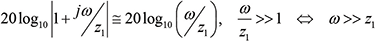
First-Order Zero (not at the origin)
Let’s look at the 20 log10
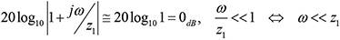
term. For
<< 1, or equivalently, ω << z1, we have
(9a)
So, for ω << z1 the approximation to the term 20 log10
is a straight horizontal line at the value of 0 dB. Conversely, for
>> 1, or equivalently, ω >> z1, we have
(9b)
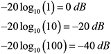
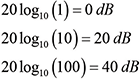
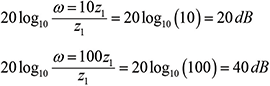
To gain an insight into the meaning of (9b), let’s evaluate it for two different values of ω, namely ω = 10z1 and ω = 100z1.
(10)
So the change in frequency of one decade corresponds to the change in magnitude of 20 dB. This means that the Bode plot of 20 log10
is a straight line with a slope of 20dB/decade. This straight line intersects the 0 dB axis, at ω << z1 since
(11)
This value of ω is called the corner frequency, often denoted by ωC. Thus, on the basis of Eqs. (10) and (11), two straight lines can approximate the amplitude plot of a first-order zero, as shown in Figure 2.

First-Order Pole (not at the origin)
Let’s look at the 20 log10
term. For
<< p1, or equivalently, ω << p1, we have
(12a)
So, for ω << p1 the approximation to the term ‒20 log10
is a straight horizontal line at the value of 0 dB. Conversely, for
>> p1, or equivalently, ω >> p1, we have
(12b)
Therefore, the Bode plot of ‒20 log10
is a straight line with a slope of -20dB/decade. This straight line intersects the 0 dB axis, at ω = p1 since
(13)
Thus, two straight lines can approximate the amplitude plot of a first-order pole, as shown in Figure 3.

The value of ω = p1 is also called the corner frequency.
First-Order Pole (at the origin)
Let’s look at the ‒20 log10 ω term and evaluate it at ω = 1, ω = 10, and ω = 100
(14)
Thus, the plot of ‒20 log10 ω is a straight line having a slope of -20dB/decade that intersects the 0 dB line at ω = 1, as shown in Figure 4.

First-Order Zero (at the origin)
Let’s now look at the transfer function shown in (1b), repeated here:
(15a)
This transfer function has a zero at the origin. The corresponding frequency transfer function is
(15b)
The magnitude of this transfer function in dB is
(15c)
The first and the third terms in (15c) have already been discussed. The only term, not discussed so far, is the second term, i.e., 20 log10 ω. Let’s look at this term and evaluate it at ω = 1, ω = 10, and ω = 100
(16)
It is apparent that the plot of 20 log10 ω is a straight line having a slope of +20dB/decade that intersects the 0 dB line at ω = 1, as shown in Figure 5.

Now, we are ready to combine the individual plots and obtain a straight-line approximation to a magnitude plot in dB of a frequency transfer function. Let’s illustrate this through an example.
Bode Plots – Example
Let the transfer function be given by
![]()
The frequency transfer function is
![]()
Or in a standard form,

The magnitude of the frequency transfer function in dB is

Figure 6 shows the straight line plots of each term, as well as the plot of all terms combined.

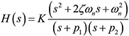
Second-Order Bode Plots
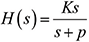
In addition to the first-order terms discussed in the previous section, we may encounter second-order terms in the system transfer function. The terms appear either in the numerator or denominator of the transfer function, i.e.,
(17a)
or
(17b)
If the roots of the quadratic equation are real then the quadratic equation can be written as a product of two first order terms and we apply the methods of the previous section.
When the roots are complex, then it can be shown [2] that the Bode plot representing the quadratic form in (1a) can be approximated as a 0 dB line until the frequency of ωn and a line of a slope of -40 dB for the transfer function in (1a), as shown in Figure 7.

For the transfer function shown in (1b) the plot consists of a 0 dB line until the frequency of ωn and a line of a slope of +40 dB as shown in Figure 8.

The final remark: Recall that for the first order transfer function in (1a) the gain factor was not K but K0 given by
(18)
Similarly, for the second order factors of the form in (17a) the gain factor is [2]
(19a)
while for the form in (17b) it is
(19b)
References
- Bogdan Adamczyk, Foundations of Electromagnetic Compatibility with Practical Applications, Wiley, 2017.
- Nilsson, J. W. and Riedel, S. A., Electric Circuits, 10th ed., Pearson, Upper Saddle River, NJ, 2015.
