Introduction
There are many properties of antennas used to describe their performance. These include gain, directivity, beamwidth, radiation resistance, polarization, input power, VSWR, antenna factor, etc., to name a few. Out of all these properties, antenna factor (AF) is most useful to those performing electric (E) field radiated emissions measurements. The following describes why.
Definition
Before going much further, let us define what AF is, assuming a 50 Ω measurement system (a valid assumption since 50 Ω is standardized worldwide throughout the EMC measurement community). According to reference 1, AF is the ratio of the magnitude of the E-field incident upon a receive antenna divided by the voltage developed at the antenna’s coaxial connector.
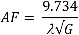
To calculate AF, two pieces of information are required: 1) λ, which is wavelength in meters, and 2) antenna gain (G) as a power ratio. Once this information is known, then AF is calculated using this basic formula:
![]()
Why is Knowing the Antenna Factor Helpful?
Since AF is a voltage ratio, it is more convenient to use it instead of gain when calculating E-field emissions received by the measurement system during a radiated emissions test.
Recall that the purpose of the antenna in a radiated emission test is to couple the E-field emanating from the equipment under test (EUT) to the measuring device (measuring receiver or spectrum analyzer). Since E-field strength limits are provided in terms of volts per meter (at a specific distance from the EUT), and the measuring device is calibrated in volts, then the antenna must be calibrated in terms of volts output for a given E-field strength at each test frequency. Makes perfect sense, right?
Pro Tip: Think of AF simply as a loss that the antenna introduces into the measurement that must be added back into the calculation that provides the correct E-field value emanating from the EUT.
AF, specified in dB/m (decibel per meter), is the antenna calibration mentioned in the previous paragraph. The antenna manufacturer provides it as a table of dB/m versus frequency, so it is convenient to plug its value into the calculation that obtains the E-field strength from the measured voltage. It is a necessary element of conducting a valid radiated emissions test. AF is simply a way to convert measured voltage in dBμV to measured E-field strength in dBμV/m. The value obtained is then easy to compare with the E-field limits specified in FCC, CISPR, IEC, MIL, and other standards.
Converting Measured Voltage to E-field Strength
To obtain the desired E-field strength at a particular frequency, three pieces of information are required: 1) the voltage in dBmV obtained from the measuring device; 2) the AF provided in dB/m (provided by the antenna manufacturer); and 3) the cable loss (CL) in dB of the coaxial cable connecting the output of the antenna to the input of the measuring device (self-explanatory).
Given a value in dBmV obtained from the measuring device, an AF in dB/m from the antenna calibration report, and cable loss in dB, then the E-field (E) in dBmμ/m emanating from the EUT is easily calculated as follows:
E (dBμV/m) = V (dBμV) + AF (dB/m) + CL (dB)
E (dBμV/m) is then compared with the specified limits to determine if the EUT complies with the requirements or not. Due to uncertainties in the measurement from test facility to test facility, adding some margin to E (dB(V/m) result obtained is highly recommended to help ensure all products tested in different facilities and at different times pass emissions testing. The amount of margin is an internal management decision.
Pro Tip: Apply 6 dB for Class A limits and 3 dB for Class B.
Summary
Antenna factor is one of the most important properties of antennas used for radiated emissions measurements. It is a calibration provided by suppliers of antennas used in EMC measurements. It provides a convenient way of calculating the E-field strength obtained from a voltage measurement, making it easy to determine whether a product complies with the limits.
References and Further Reading
- Amplifier Research, Orange Book of Knowledge, 9th Edition.
- Williams, T., EMC for Product Designers, 5th Edition, Newnes, 2017.
