Different Circuit Models and Their Applications
This is the first of three articles discussing four different circuit models of transmission lines in sinusoidal steady state. All four models, while equivalent, serve a different purpose. Model 1 is used to present the solution of the transmission line equations. It serves as the basis for the remaining three models. Model 2 is best suited for the introduction of the standing waves. Evaluation of the minima and maxima of the standing waves is mathematically most expedient using Model 3. The location of the minima and maxima of the standing waves is determined using Model 4. This article discusses Model 1 and Model 2 and their usefulness.
1. Transmission Line Model 1
Model 1 is best suited for the straightforward derivation of the transmission line equations and their solutions. These solutions are obtained in the most natural and mathematically least complicated way. The solutions reveal that voltages and currents travel as waves on transmission lines. It is also the easiest model to obtain the expressions for the magnitudes of the voltages and currents at any location away from the source. These expressions, shown at the end of this section, provide a starting point for subsequently discussing Model 2.
Model 1, shown in Figure 1, was discussed in [1, 2] and is briefly reviewed here.

A sinusoidal voltage source
S with its source impedance
S drives a lossless transmission line with characteristic impedance ZC terminated in an arbitrary load
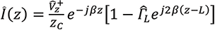
L. In this model, we are moving away from the source located at z = 0 towards the load located at z = L. The voltage and current at any location z, away from the source, are given by:
(1.1a)
(1.1b)
where the
and
are constants [2] and is the phase constant of the sinusoidal voltage source, related to the wavelength by:
(1.2)
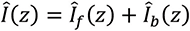
The solutions in Eqns. (1.1) consist of the forward- and backward-traveling waves [3].
(1.3a)
(1.3b)
The forward-traveling waves are described by:
(1.4a)
(1.4b)
while the backward-traveling waves are given by:
(1.5a)
(1.5b)
The voltage and current at any location z, away from the source, given by Eqns. (1.1), can alternatively be expressed by [2]:
(1.6a)
(1.6b)
where
L is the load reflection coefficient. The magnitudes of the voltage and current at a distance z away from the source are:
(1.7a)
(1.7b)
2. Transmission Line Model 2
Circuit Model 2, shown in Figure 2, is best suited for introducing the concept of standing waves.

In this model, the load is located at d = 0, and the source is located at d = L. The voltage and current are now a function of the distance variable d when moving from the load towards the source. The two distance variables are related by:
(2.1a)
(2.1b)
Utilizing Eq. (2.1b) in Eqns. (1.3) gives the magnitudes of the voltage and current at a distance d away from the load as:
(2.2a)
(2.2b)
where [3]:
(2.3a)
(2.3b)
When the load is short circuited, the magnitudes of the voltage and current in Eqns. (2.2) become [1]:
(2.4a)
(2.4b)
and are shown in Figure 3.

When the load is open circuited, the magnitudes of the voltage and current in Eqns. (1.2) become
(2.5a)
(2.5b)
and are shown in Figure 4.

When the load is matched, the magnitudes of the voltage and current in Eqns. (1.2) are constant
(2.6a)
(2.6b)
and are shown in Figure 5.

For an arbitrary load (other than short, open, or matched), the magnitudes of the voltage and current at a distance d away from the load are obtained from equations (2.2). Figure 6 shows a sample plot of these magnitudes.

The locations (distance from the load) of the voltage maxima and minima are determined by the actual load impedance. In all cases (other than the matched load), the distance between two adjacent voltage maxima or minima is one-half wavelength (same for the current), while the distance between a voltage maximum and its closest minimum is one-quarter wavelength (same for the current).
We also observe that the voltage and current do not travel as the time advances, but stay where they are, only oscillating in time. In other words, they do not represent a traveling wave in either direction.
The resulting wave, which is a superposition of two traveling waves with opposite direction of travel is a standing wave.
In the next article, we will introduce two remaining circuit models of transmission lines in sinusoidal steady state. These models will be used to determine the locations and values of the standing waves voltage/current maxima and minima.
References
- Adamczyk, B., “Standing Waves on Transmission Lines and VSWR Measurements,” In Compliance Magazine, November 2017.
- Adamczyk, B., “Sinusoidal Steady State Analysis of Transmission Lines – Part II: Voltage, Current, and Input Impedance Calculations – Circuit Model 1,” In Compliance Magazine, February 2023.
- Adamczyk, B., “Sinusoidal Steady State Analysis of Transmission Lines – Part III: Voltage, Current, and Input Impedance Calculations – Circuit Model 2,” In Compliance Magazine, March 2023.
