Different Circuit Models and Their Applications
This is the second of three articles discussing four different circuit models of transmission lines in sinusoidal steady state. In Part 1, Model 1 and Model 2 were presented. In this article, we focus on Model 3. Model 3 is mathematically most expedient for evaluating the values of the minima and maxima of standing waves. The locations of the minima and maxima of standing waves are determined using Model 4.
Transmission Line Model 3
To present Model 3, it is helpful to recall Model 1, shown in Figure 1.

In Model 1, we are moving away from the source located at z = 0 towards the load located at z = L. Model 3, shown in Figure 2, is obtained from Model 1.

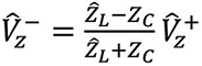
In this Model we are moving away from the source to the load, just like we did in Model 1. But in Model 3, the source is located at z = –L while the load is located at z = 0.
In both models, the voltage and current at any location z, away from the source, are given by the same equations:
(1.1a)
(1.1b)
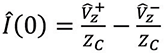
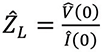
These equations describe the voltage and current along the line, regardless of the value of z, assigned to the location of the source. We can place that location at any convenient point along the line, depending on what phenomenon we want to investigate. In computing the value of the voltage maxima and minima, the source location chosen in Model 3 is the most convenient.
It is important to discern which equations are the same and which are different in both models. In Model 1, the voltage and current at any location z, away from the source, was expressed in terms of the load reflection coefficient as [1],
(1.2a)
(1.2b)
where
L is the load reflection coefficient. These equations can be written in an alternative way.
(1.3a)
(1.3b)
or
(1.4a)
(1.4b)
Equations (1.2), (1.3), and (1.4), valid for Model 1, describe voltage and current at any location z away from the source when the source is located at z = 0 and the load is located at z = L. As we shall see, the corresponding set of equations for Model 3 is different.
In Model 3, with the choice of the z = 0 location at the load, the following equation must be satisfied:
(1.5)
From Eqns. (1.1), valid for both models, we get
(1.6a)
(1.6b)
Utilizing Eqns. (1.6) in Eq. (1.5), we have
(1.7)
leading to
(1.8)
or
(1.9)
Using Eq. (1.9) in Eqns. (1.1), we get
(1.10a)
(1.10b)
or
(1.11a)
(1.11b)
Note that Eqns. (1.11), valid for Model 3, are different from Eqns. (1.4), valid for Model 1. We will use Eqn. (1.11a) to determine the expression for the voltage magnitude and, subsequently, its maximum and minimum. Towards this end, let’s express the complex load reflection coefficient in terms of its magnitude and angle as
(1.12)
Utilizing Eq. (1.12) in Eq. (1.11a) we get
(1.13)
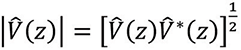
The magnitude of a complex voltage in Eq. (1.13) can be obtained from
(1.14)
where the superscript * denotes a complex conjugate. Thus,
(1.15)
or
(1.16)
Multiplying out and simplifying, we have
(1.17)
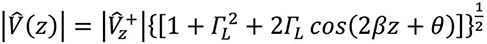
Utilizing Euler’s formula for a cosine, we arrive at the expression for the magnitude of the voltage at any location z away from the source as
(1.18)
when the source is located at z = –L and the load is located at z = 0, (Model 3).
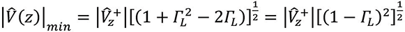
The maximum magnitude of the voltage in Eq. (1.18) occurs when the cosine function equals 1. Thus,
(1.19)
or
(1.20)
The minimum magnitude of the voltage in Eq. (1.18) occurs when the cosine function equals -1. Thus,
(1.21)
or
(1.22)
Additionally, Eqns. (1.20) and (1.22) provide an alternative and convenient way of calculating the voltage standing wave ratio (VSWR), as
(1.23)
Transmission Line Model 4
Model 4 is shown in Figure 3. In Model 4, we are moving away from the load located at d = 0 towards the source located at d = L.

Model 4 is obtained from Model 3 by simply relating the distance variables according to
(1.24)
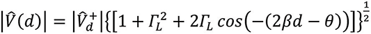
Using Eq. (1.24), in Eq. (1.18), the magnitude of the voltage at any location d away from the load becomes
(1.25)
where
(1.26)
Equation (1.25) can be rewritten as
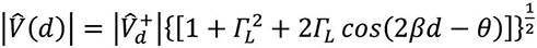
(1.27)
Since cosine is an even function, Eq. (1.27) becomes
(1.28)
The next article will utilize Model 4 and Eq. 1.27 to determine the locations of the voltage maxima and minima in terms of the distance d away from the load.
References
- Adamczyk, B., “Analysis of Transmission Lines in Sinusoidal Steady State: Part 1, Different Circuit Models and Their Applications,” In Compliance Magazine, October 2024.
