Different Circuit Models and Their Applications
This is the third and final article discussing four different circuit models of transmission lines in sinusoidal steady state. In [1], Model 1 and Model 2 were presented. Model 1 was used to present the solution of the transmission line equations. Model 2 introduced the standing waves. Model 3 discussed in [2] led to the evaluation of the values of the minima and maxima of standing waves. This article uses Model 4 to determine the locations of the minima and maxima of standing waves. This determination is first done analytically, followed by the graphical method using the Smith chart.
1. Transmission Line Model 4
To present Model 4, it is helpful to recall Model 3, shown in Figure 1.

In Model 3, we are moving away from the source, located at z = -L to the load located at z = 0. Model 4 is shown in Figure 2.

In Model 4, we are moving away from the load located at d = 0, towards the source located at d = L. Model 4 is obtained from Model 3 by simply relating the distance variables according to
(1.1)
Model 3 was led to the expression for the magnitude of the voltage at any location z away from the source as
(1.2)
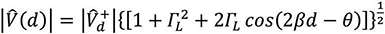
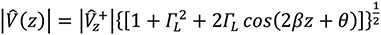
With the change of variables given by Eq. (1.1), Model 4 produced an expression for the magnitude of the voltage at any location d away from the load as [2],
(1.3)
In the next section, we will use this equation to determine the locations of the voltage maxima and minima in terms of the distance d away from the load.
Location of the Voltage Maxima and Minima – Analytical Solution
Examining Eq. (1.3), we deduce that the maximum magnitude of the voltage occurs when the cosine function equals 1 or its argument satisfies the condition
(2.1)
and thus
(2.2)
Since β = 2π/λ, Eq. (2.2) becomes
(2.3)
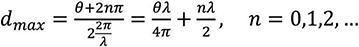
leading to
(2.4)
The minimum magnitude of the voltage occurs when the cosine function equals -1 or its argument satisfies the condition
(2.5)
and thus
(2.6)
leading to
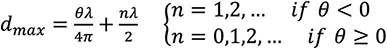
(2.7)
The spacing between adjacent minima and maxima is λ/4. The first minimum can be obtained from the first maximum as
(2.8)
Location of the Voltage Maxima and Minima – Graphical Solution Using Smith Chart
To illustrate this graphical solution, consider a load with the normalized load impedance [3],
(3.1)
represented by point A in Figure 3.

Recall the phase-shifted load reflection coefficient [4]
(3.2)
At point B, the total phase of
(d), that is, (θ – 2βd), is zero, or -2nπ, (n being a positive integer).
As stated earlier, the maximum magnitude of the voltage occurs when the cosine function in Eq. (1.3) equals 1 or its argument satisfies the condition
(3.3)
which is exactly the condition satisfied at point B. Thus, point B is the location of the voltage maxima.
At point C, the total phase of
(d), that is (θ – 2βd), equals –π or – (2n + 1)π (n being a positive integer).
As stated earlier, the minimum magnitude of the voltage occurs when the cosine function in Eq. (1.3) equals -1 or its argument satisfies the condition
(3.4)
which is exactly the condition satisfied at point C. Thus, point C is the location of the voltage minima.
The corresponding minima and maxima are λ/4 apart.
Back to Part 1.
Back to Part 2.
References
- Adamczyk, B., “Analysis of Transmission Lines in Sinusoidal Steady State, Part 1: Different Circuit Models and Their Applications,” In Compliance Magazine, October 2024.
- Adamczyk, B., “Analysis of Transmission Lines in Sinusoidal Steady State, Part 2: Different Circuit Models and Their Applications,” In Compliance Magazine, November 2024.
- Adamczyk, B., “Smith Chart and Standing Wave Ratio,” In Compliance Magazine, September 2024.
- Adamczyk, B., “Smith Chart and Input Impedance to Transmission Line – Part 3: Input Impedance to the Line,” In Compliance Magazine, June 2023.
