Maxwell’s Equations are eloquently simple yet excruciatingly complex. Their first statement by James Clerk Maxwell in 1864 heralded the beginning of the age of radio and, one could argue, the age of modern electronics as well. Maxwell pulled back the curtain on one of the fundamental secrets of the universe. These equations just don’t give the scientist or engineer insight, they are literally the answer to everything RF.
The problem is that the equations can be baffling to work with. Solving Maxwell’s Equations for even simple structures like dipole antennas is not a trivial task. In fact, it will take us several chapters to get there. Solving Maxwell’s Equations for real life situations, like predicting the RF emissions from a cell tower, requires more mathematical horsepower than any individual mind can muster. For problems like that we turn to computers for solutions. Computational solutions to Maxwell’s Equations is a field that offers great promise. Unfortunately, that does not necessarily mean great answers. Computational solutions to Maxwell’s Equations need to be subjected to a reality check. That, in turn, usually requires a real live scientist or engineer who understands Maxwell’s Equations.
So let’s get started.
I will start by defining the terms charge, force, field, voltage, capacitance, inductance, and flux. That may sound like a bore, but the fact is that most of us take these terms for granted and sometimes use them improperly.
I’ll start with charge. Each electron is assigned one negative elemental charge, each proton one elemental positive charge. We denote a single charge as q, and, by definition, call 6.24 x 1018 such charges a Coulomb (Q).

Take two positively charged objects, say metal spheres, and place them in proximity. There will be a repulsive force between them. We measure force in Newtons and in free space (a vacuum) it is equal to:

Where, in MKS units:
Q1 = Charge on sphere 1 in Coulombs
Q2 = Charge on sphere 2 in Coulombs
F = Force in Newtons
R = Distance between the spheres in meters
ε0 = Free space permittivity = 8.85 x 10-12
An enigmatic force seems to radiate or flow outward from each charged sphere. In order to provide for a uniform measure of the magnitude of this force, we can design a probe as shown in Figure 2. It consists of a small metal sphere onto which we place one Coulomb of positive charge.

The amount of the force on our Test Probe will be:

Where:
Q1 = The charge on the large sphere of Figure 2 in Coulombs
Q2 = The charge on our Test Probe in Coulombs, Q2 = 1
The force on our one Coulomb Test Probe is equal to the electric field (E).

Since a repulsive force exists between like charges, bringing such charges together requires work (Force times Distance = Work). Figure 3 shows a large metallic sphere charged with one Coulomb and a much smaller charged sphere some distance away. As an experiment, we’ll try transferring the charge on the small sphere to the large one by moving the smaller sphere from infinity into contact with the larger sphere. The closer the two are, the greater the repulsive force, and the greater the work required to move an additional, incremental amount. The calculation of the total work required to move the additional charge from infinity onto the surface of the large sphere requires integration. We’ll be integrating the repulsive force over distance.

Where:
W = Work in Newton-meters
∆V = Change in Voltage
∆Q= Charge on the small sphere, ∆Q << 1 Coulomb
Q1 = Charge on the larger sphere, Q1 = 1 Coulomb

The work done becomes potential energy just as if we had compressed a spring. This can be referred to simply as a change in potential and is equal to the ∆V.
We can rearrange this equation like this:

Where:
∆C = “Capacitance” of the sphere in Farads
This equation states that the amount of work required to put an additional increment of charge on the sphere is a function of its size. The bigger the sphere, the easier it is to put on that extra increment of charge. The sphere’s capacitance is equal to 4πε0R .
Capacitance is usually thought of in terms of opposing metal plates, but as our experiment shows that’s not the only way to make a capacitor. Any conductive object will have an inherent capacitance. It’s other “plate” is at infinity. Put two such objects in close proximity and the capacitance between them will be much greater than the capacitance between either of them and infinity, so the additional capacitance due to the “plate” at infinity is usually ignored.
Figure 4 suggests another experiment. We’ll take our Test Probe with its one Coulomb of charge and move it, first forward, then back, and then in a circle. As we move it forward (toward the large sphere) work is required. Since they are of like charge, the Test Probe acts as if there’s an invisible spring between it and the large charged sphere. The work we do in moving the Probe forward becomes additional stored potential energy of the system, raising the Voltage between the Probe and the sphere. As we move it back to our original position, the potential energy of the system drops, just as if we had let a compressed spring relax. The Voltage between the Test Probe and the sphere returns to the its initial value. That’s true no matter what circuit we take to get back to our starting point, as shown.

The fact that no change in potential energy results in returning to the starting point is the basis for one of Maxwell’s Equations. Mathematically, the effect can be stated as follows:
![]()
This states that the total change in potential energy which results from the movement of a charge in a closed circuit is zero. We could also state this in terms of the Voltage:
![]()
This is a statement of Kirchhoff’s Voltage law. Electrical engineers use Kirchhoff’s Voltage law every day, but, as we will see, the validity of the law depends on certain assumptions, namely that the magnetic field through the closed circuit is unchanging. But that’s a subject we’ll return to in future chapters. For now we can accept the equations above to be true.
The term εE arises so often that it has its own abbreviation, D=εE. D is known as the electric flux density.
In order to proceed further, we’ll need to introduce the concept of flux. The concept is illustrated in Figure 5. As we noted, two charged objects seem to have some invisible force between them. It’s convenient to think of this force as flowing between the charged objects, and it’s usually drawn that way. The electric field is drawn like water flowing from a sprinkler head.

Figure 5 shows a thin planar object placed within the field. The object, a plate, is shown edge on. Let’s assume that the surface of the plate (the part we cannot see since it’s “into” the page) has an area A, the plate is non-conductive and it has a dielectric constant of ε0. Referring to the upper right hand portion of Figure 5, we calculate the total electric flux through the plate to be equal to the electric flux density, D, times the area. The electric flux density, by convention, is indicated by the density of the field lines. The closer the field lines are, the denser (stronger) the electric field is.
As the plate is tilted, fewer field lines pass through it until, finally at the bottom of Figure 5, virtually no field lines pass through the plate at all and the flux is near zero. Mathematically, the flux through the plate in Figure 5 can be stated as:
![]()
Where:
ψE = Total electric flux through the plate
D = Electric flux density
A = Area of the plate
θ = Angle shown in Figure 5
We run into this form of equation so often that a special nomenclature been developed to express it, called the “dot product.”
![]()
Having described the concept of flux, we’ll now return to our large, free floating charged sphere. We’ll wrap an invisible, three dimensional envelope around the sphere as shown in cross section in Figure 6(a). The envelope is centered on the sphere. We can calculate the flux through this envelope simply by multiplying the field, which is uniform at a given distance from the sphere, by the area of the envelope. (I’ll skip the mathematics and just give you the result.) The total flux through the envelope is equal to the charge on the sphere, Q. Though proving it requires a neat bit of mathematics, take it from me that the answer would be the same whether the envelope around the sphere is as shown in Figure 6(a), or irregularly shaped as in Figure 6(b). Further, the answer would still be the same if we were dealing with one charged object or many (Figure 6(c)). Expressed mathematically, we have Maxwell’s first equation (also known as Gauss’ first law):
![]()
This equation states that total electric flux through an envelope equals the total charge contained within it. It’s a remarkably simple result.

Many of the same experiments that we’ve done for electric fields we can now do for magnetic fields. We’ll need some kind of test probe like we’ve used for measuring electric fields. To measure magnetic fields, we’ll choose a small, one turn loop of wire carrying a static (dc) current of one Amp. Such a loop creates a magnetic field. See Figure 7.

Figure 8 shows what happens when we place our Test Loop in a uniform magnetic field. The loop feels a twisting influence known as a torque. Left to its own devices, the Test Loop will orient itself so that the plane of the loop is perpendicular to the magnetic field lines. The total torque is equal to the force on the loop in times its length.

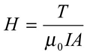
We can use the maximum torque detected (which occurs when the plane of the Test Loop is aligned with the field) to measure the magnetic field H. It is:

Where:
H = Magnetic field in Amps/meter
T = Torque in Newton-meters
I = Current in the Test Loop in Amps
A = Area of the loop in m2
µ0 = Free space permeability = 4 π x 10-7
By convention, we usually move the constant µ0 to the other side of the equation, expressing the result in terms of B=µ0H. B is known as the magnetic flux density and is
measured in Teslas. (Alternatively, the magnetic flux density can be expressed in CGS units as Gauss. There are 10,000 Gauss to one Tesla.)
Having defined the “magnetic field” and the “magnetic flux density,” and having devised a way to measure the field, we now can perform the same experiments for magnetic fields that we previously performed for electric fields. In Figure 9, we wrap an invisible envelope around a source of a magnetic field, in this case a loop of wire carrying a direct current. Note that all of the magnetic field line flowing outward from the loop end up returning to it. Magnetic fields always form closed circuits. Because of that, the total magnetic flux through our envelope is zero. Expressed mathematically, we have Maxwell’s (and Gauss’) second equation:
![]()

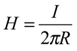
Figure 10 illustrates another experiment. We can measure the magnetic field around a straight wire carrying direct current using our Test Loop. What we will find is that the magnetic field falls off linearly with the distance from the wire according to the formula:


Since 2πR is the circumference of a circle around the wire, we can restate this equation as follows:

This states is that the total magnetic field integrated around a closed loop is equal to the current passing through, and normal to, that loop.
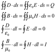
We now have all that we need to state Maxwell’s Equations for the case of direct currents and static fields. Here they are:

Perhaps it’s more intuitive to state these in terms of words rather than in terms of mathematics:
- The electric flux through any envelope is equal to the charge contained.
- The magnetic flux through any envelope is zero.
- In a static field, the total change in a system’s potential energy resulting from the movement of a charge in a closed loop is zero. (Or more simply, in a static field, the Voltage around a closed loop is zero.)
- In a static field, the magnetic field integrated around a closed loop (the “line integral”) is equal to the current flowing through, and normal to, the loop.
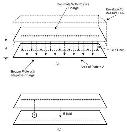
Before closing this chapter, let’s do two final experiments. The first involves a typical parallel plate capacitor as shown in Figure 11. It has a positive charge on the top plate and a negative charge on the lower plate. We can use the first of Maxwell’s Equations to compute the field between the plates. To do this, we have to define an envelope around one of the plates. The envelope can be any shape we want, and so we choose a box around the upper plate as shown in Figure 11(a). We know from experience that the electric field largely consists of parallel field lines between the two plates. All these field lines pass through the bottom of the box shaped envelope and are, for the most part, perpendicular to its surface. That will make it easy to work with the equations. Note that the flux through the bottom of the box is equal to the electric field density times the area of the bottom of the box, which in turn is equal to the area of the top plate. So:

Where:
Q = The charge on the upper plate in Coulombs
E = Electric field between the plates in Volts/meter
A = Area of the upper plate in meters2

To find the capacitance, we first charge the plates with one Coulomb of charge. Then we calculate the work required to move a small amount of additional positive charge from the lower plate to the upper one:

Our second experiment involves inductance. We’ll start with its definition and then calculate the inductance of a loop of wire. Inductance is defined as the total magnetic flux through a loop divided by the current that gives rise to that flux:
![]()
Where:
ψM = Magnetic flux through the loop due to I
L = Inductance in Henries
I = Current in Amps
For our experiment, we’ll use a single turn loop of wire carrying a direct current. We’ll use our Test Loop to measure the magnetic field within the loop. We’ll find that it’s nearly uniform and equal to:

Where:
H = Magnetic field within the loop
I = Current in the loop in Amps
d = Diameter of the loop in meters
We then can derive its inductance as:

The similarity of this equation to the one describing the capacitance of a parallel plate capacitor is no accident, as we’ll see. ![]()
References
- J.D. Kraus, Electromagnetics, 4th Edition, McGraw-Hill Inc., 1991.
- R. Olenick, T. Apostol, and D. Goodstein, Beyond the Mechanical Universe: From Electricity to Modern Physics, Cambridge University Press, 1986.
- Hawkins, Electrical Guide No. 1, Theodore Audel & Co., New York, 1914.
Copyright Ampyx LLC
