In Chapter 2, I introduced Maxwell’s Equations in their “integral form.” Simple in concept, the integral form can be devilishly difficult to work with. To overcome that, scientists and engineers have evolved a number of different ways to look at the problem, including this, the “differential form of the Equations.” The differential form makes use of vector operations.
A physical phenomena that has the both the attributes of magnitude and direction may be described by a vector. Velocity can be drawn in vector form; it has the attributes of both direction and speed. Vectors can be illustrated graphically as shown in Figure 1(a) – the length of the vector represents its magnitude and its angle from the x axis defines its direction. However, we will be using Cartesian coordinates. In this system, vectors are described as a sum of “unit” denominated vectors. A unit vector along the x axis is simply a vector aligned with the x axis that is one unit long (one meter long in the MKS system). We’ll denote a unit vector in the x direction as i. Similarly, unit vectors in the y and z directions will be denoted j and k respectively.
The vector shown in Figure 1 has a magnitude of 5 and is angled away from the x axis by 30 degrees. It can also be described as the sum of two unit denominated vectors one 3j units long and the other 4i units long.

Vectors are manipulated through the use of “vector operations.” We have already seen one of these, the dot product which illustrated in Figure 2.

Use of the dot product allows computation of the component of Vector A which is aligned with Vector B. It is expressed as:
![]()
However, the dot product can also be expressed in terms of unit vectors. I’ll skip the proof and just give you the formula:
Where:
A = Ax i + Ay j + Az k
B = Bx i + By j + Bz k
i, j, k = Unit vectors in the x, y and z directions respectively.
The dot product does not have any direction associated with it. It’s a scalar, not a vector.
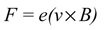
The second vector operation we’ll need to use is known as the “cross product.” The cross product is best illustrated by a real world example, the deflection of an electron beam within a Cathode Ray Tube.
Figure 3 shows a beam of electrons moving through a vacuum exposed to a magnetic field. The field here points out of the page. (By convention, a magnetic field that points out of the page is designated by a dot in a circle, and one that point into the page by an x within a circle.) As the charge moves through the field it is acted on by a force known as the Lorentz Force. The Lorentz Force operates through the “right hand rule,” the charge “feels” a force perpendicular to the plane formed by the field and the direction of charge movement. The Lorentz Force is equal to:
Where:
F = Lorentz Force in Newtons. e = Positive electric charge in Coulombs.
v = Velocity of the charge in m/s.
B = Magnetic flux density in Teslas

The × in this equation is not simply a multiplier. Both v and B are vectors, and in this context × denotes a vector operation known as the cross product. The cross product (v × B) is equal to:
![]()
The symbol ┴ denotes the direction of the force, perpendicular to the plane formed by the vectors v and B.
In Cartesian coordinates the cross product is equal to:
![]()
Unlike the dot product, the cross product is a vector itself.
Cross products can be solved for easily by using a “determinant.” Take two vectors, A and B, and set them up in a matrix form as follows:

The determinant is used (expanded) as shown in Figure 4.

In what is known as “determinant form,” the cross product of two vectors A and B can be expressed simply as:

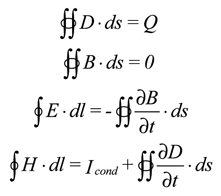
In our Chapter 2, we introduced Maxwell’s Equations in their integral form:

Where:
D = Electric flux density = ε0E
E = Electric field in Volts/meter
B = Magnetic flux density = µ0H
H = Magnetic field in Amps/meter
ε0 = Free space permittivity= 8.85 x 10-12
µ0 = Free space permeability= 4π x 10-7
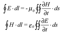
We also adapted Maxwell’s Equations for the conditions of “free space.” Operating in free space leaves us only with us only two equations to consider:

We did find one combination of electric and magnetic fields that satisfies these two equations. The combination consists of two sinusoidal fields set perpendicular to each other, forming what is known as a “plane wave.” (Figure 5)

This plane wave consists of an electric field component in the form of:
![]()
and a magnetic field component in the form of:
![]()
The plane wave is easy to visualize, but it is hardly a general solution for Maxwell’s Equations. We’ll make the solution more general by considering a composite magnetic field that itself is composed of two magnetic field components. These components are:

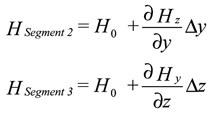
The first component, Hy = H0cos(ωt-kz) is a wave traveling in the z direction consisting of magnetic field vectors oriented in the y direction. The second component, Hz = H0cos(ωt-ky) is a wave consisting of field vectors oriented in the z direction and traveling in the y direction.
The equation we’ll need to satisfy is:

We’ll assume that the derivative of the electric field with respect to time is uniform over the small rectangular surface shown in Figure 6. In that case, the right side of this equation can be simplified as follows:

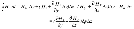
We’ll use the same technique we used before to solve for the line integral of the magnetic field. We’ll solve for it pictorially by multiplying the length traveled around the perimeter of the small rectangle in Figure 6 by the field in the direction of travel.

H0 is the magnetic field along Segments 1 and 4 of our perimeter. As for the magnetic fields along the other two segments, they are:

Remembering that we have to move counter clockwise to preserve the right hand rule, the line integral is:

Therefore the fourth of Maxwell’s Equations for the fields illustrated in Figure 6 can be expressed as:

We can also define the “current density” J as being equal to I/∆y∆z, so:

We could extend this analysis to situations involving magnetic fields, electric fields and currents in three dimensions, but the analysis will become ever more complex. Fortunately, there is a short cut. Things are made vastly easier because the line integral is, in fact, a cross product.
To see that, we’ll start where we left off with vectors, with the determinant form of the cross product of two vectors A and B.

Now for a bit of a trick. We substitute for Vector A
in the determinant:

and for Vector B:
![]()
Our determinant becomes:

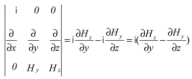
Then we note that there is no current and no change in the electric field in the y or z directions. We also note that there is no magnetic field component in the x direction. Replacing these elements in our determinant with zeros yields the following:

Expanding the determinant, we find:

More generally, if we have components of magnetic fields, electric fields and currents in the three dimensions, Maxwell’s fourth equation becomes:

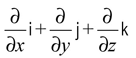
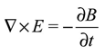
Determinants may make a solution easier to obtain, but the solution obtained is still unwieldy. Here, mathematicians have come to the rescue. The have defined a vector operator known as the “del” which is equal to (∂/∂x)i + (∂/∂y)j + (∂/∂z)k and is drawn as an upside down triangle ᐁ. Using it, we can state an equivalent to the fourth of Maxwell’s Equations by writing simply:

Similarly, it can be shown that:

The technical name for ᐁ × E is the “curl” of the electric field. It has very real physical properties. An electric field circulating in a loop is linked to the changing magnetic flux through it. A gyroscope serves as a useful mechanical analog. The spinning ring of the gyroscope creates an angular momentum, which, through the conservation of angular momentum, keeps the ring spinning in the same plane. Angular momentum is describe by a vector perpendicular to the plane of the spinning ring. The two are linked, the spinning ring creates an angular momentum which, in turn, keeps the ring spinning in the same plane. Similarly, a circulating electric field creates a vector perpendicular to the plane of circulation equal to the change in electric flux through and normal to it. The two are inexorably linked. The same is true of the circulating magnetic field and its normal vector, the conduction and displacement currents.
Another mechanical analog is also useful. Figure 7 shows two air streams. The air stream at the left has a velocity uniform across its breadth. The one at the right has a velocity which peaks at the sides of the stream. We can use a paddlewheel as a tool to measure the curl. The air stream at the left exhibits no curl. Insert the paddlewheel into that air stream and it doesn’t turn. Insert the paddlewheel into the air stream at the right and it will turn, except in the dead center. To either the left or right of dead center, the stream exhibits curl which causes a change in the angular momentum of the paddlewheel.

The first two of Maxwell’s equations can also be expressed in their “differential” form. Again, we’ll describe what is meant by these equations pictorially in order to then derive their differential expression. We’ll begin with the first of Maxwell’s equations:
![]()
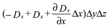
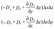
In Figure 8, we calculate the net flux into a small cube. We’ll adapt the convention that flux into the cube is negative and out of it, positive. The flux into the cube from the left (positive x direction) is:
![]()

Likewise, the flux out of the cube in the x direction is:

That makes the net flux in the x direction equal to:

Likewise, the flux contributions from the electric flux density in the y and z directions are:

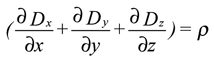
That makes the total flux, the sum of the net flux along all three axes, equal to:

Since ∆x∆y∆z = ∆volume, we can define charge per unit volume as the charge density, ρ. So,

Once again, we can use the del operator to convert the left side of this equation into a vector expression, in this case one utilizing the dot product:

or more simply:
![]()
Similarly, it can be shown that:
![]()
The latter equation is known as the “divergence” of the magnetic flux density (B). It is the measure of the flux out of a small volume of space. In the case of electric fields, the divergence of the electric flux density is equal to the charge density at a given point in space. Divergence is a scalar value, not a vector. In the case of magnetic fields, the divergence of B is always zero.
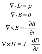
We’re now in a position to state Maxwell’s equations in their differential form. Here they are:

![]()
References
- J.D. Kraus, Electromagnetics, 4th Edition, McGraw-Hill Inc., 1991
- R. Olenick, T. Apostol, and D. Goodstein, Beyond the Mechanical Universe: From Electricity to Modern Physics, Cambridge University Press, 1986
Glen Dash is the author of numerous papers on electromagnetics. He was educated at MIT and was the founder of several companies dedicated to helping companies achieve regulatory compliance. Currently he operates the Glen Dash Foundation which uses ground penetrating radar to map archaeological sites, principally in Egypt.
Copyright Ampyx LLC
